实亿国际

实亿国际

国家高新企业

cn

新闻中心

电流电压间的 “堆叠”

信息来源:本站 日期:2017-05-12 

分享到:

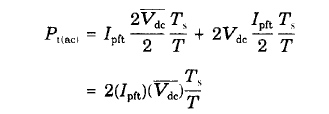
MOS功率开关管损耗2.2.12.1 交流开关 (电流电压间的 “堆叠”) 损耗由于在 T=O 后很短的时间内 ,电感呈现无量大阻抗 ,所以变压器漏感会使集电极电压下 降很快。虽然电感上的电流不能突变 ,流过漏感的电流上升迟缓 ,但导通时降落电压和上升 电流之间堆叠很少,跨导通时开关损耗能够疏忽 。而关断时 ,如图 1.5 C b ) 中针对 buck 调整器 所做的假定 ,最差状况下两者之间会有显著的堆叠 。详细细节如图 2.8 所示,假定在电压上 升到其最大值 2飞 的时间T.r 内,电流坚持为其等效平顶坡脉冲幅值/p血 ( 2.2.10.1 节)。在电 流从降落到零的时间兀 内,mOS电路电压坚持为 2汇 。设T盯=1;;f 宅 ,开关周期为 T,则每个开关 管在一个周期内的总开关损耗 F'i(ac) 为



依据式 ( 2.9 ) ,可得

2.8    1ft挽MOS开关管的变变 ,即 “ 堆叠” 开关损耗。导通时开关损耗口j疏忽,由于变压器漏感招致电&降落时间很短,电流 七升时间很长 ,使得 F降电压和L:Jl屯ifri之间.辛辛很少 。关断时口J能呈现的最坏状况 为,直到电压卜升至 2瓦 时,电流仍维持在其峰值 I,街 不变:电流F降期间 ( 兀 ),电压坚持在2汇 不变.



实亿国际 联系方式:邹先生

实亿国际 手机:18123972950

实亿国际 QQ:2880195519

实亿国际 联系地址:深圳市福田区车公庙天安数码城天吉大厦CD座5C1


实亿国际 关注KIA半导体工程专辑请搜微信号:“KIA半导体”或点击本文下方图片扫一扫进入官方微信“关注”

长按二维码识别关注


3000万彩票-追求健康,你我一起成长 乐发IV - welcome u284彩票- 欢迎您 实亿国际(中国区)官方网站 永兴集团yx06 5630彩票(中国区)官方网站 佰利乐·(中国区)有限公司官网 金彩汇 - welcome首页