实亿国际

实亿国际

国家高新企业

cn

新闻中心

mos管漏电流与VGS的关系及MOSFET栅漏电流噪声分析-KIA MOS管

信息来源:本站 日期:2020-04-23 

分享到:

mos管漏电流与VGS的关系及MOSFET栅漏电流噪声分析

mos管漏电流与VGS呈指数关系

至此,所考虑的MOS晶体管的工作,都是栅极—源极间电压VGS比阈值电压VT大时的状况。当VGS比VT大很多时,在栅氧化膜下方构成反型层(沟道),在漏极-源极间有电流活动,这种状态称为强反型状态。


但是,即便MOS晶体管的栅极,源极间电压VGS处在阈值电压VT以下,漏极电流也并不等于0,依然有微小的电流活动,这时MOS晶体管的工作状态叫做弱反型(weak inversion),工作区域叫做弱反型区。


在弱反型区,漏极电流关于VGS呈指数关系增加,电流表达式为下式:

mos管漏电流


式中,Io是与制造工艺有关的参数;”叫做斜率因子(slope factor),由耗尽层电容Cd与栅氧化膜电容Cox之比按下式计算求得:

mos管漏电流


n的普通值是1~1.5。另外,n值还能够从图2.8中曲线的斜率求得。这个曲线的横轴是VGS,纵轴取logID。n越小,logID-VGS。曲线在弱反型区中直线局部的斜率就越陡,MOS晶体管的漏电流就越小。这个斜率的倒数叫做亚阈摆动(sub-threshold swing)或者亚阈斜率(subthreshold slope),其定义式如下:

mos管漏电流


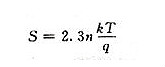
亚阈摆动S表示弱反型区中漏极电流变化1个数量级所需求的栅极-源极间电压。应用式(2.12),能够得到:

mos管漏电流


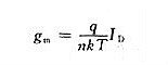
其单位通常用(mV/dec)表示。亚阈摆动小的MOS晶体管,意味着OFF时的漏电流小。当n=1时,室温下下面求弱反型区中的跨导gm。

mos管漏电流


由式(2.1)和式(2.l2)能够得到由该式能够看出,弱反型区中跨导与漏极电流成比例。


mos管漏电流-MOSFET栅漏电流噪声分析

分析问题:MOSFET的栅漏电流噪声模型 MOSFET的栅漏电流噪声模型分析与探讨


解决方案:超薄栅氧隧穿漏电流低频噪声模型 栅电流噪声电容等效电荷涨落模型 CMOS器件的等比例缩小发展趋势,导致了栅等效氧化层厚度、栅长度和栅面积都急剧减小。对于常规体MOSFET,当氧化层厚度<2 nm时,大量载流子以不同机制通过栅介质形成显。

mos管漏电流


由BSIM4提出的简易MOS模型的栅极电流分量模型

mos管漏电流


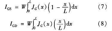
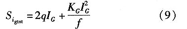
其中,JG是栅极电流密度,L是沟道长度,W是沟道宽度,x是沿沟道的位置(源极处x=0,漏极处x=L),IGS和IGD是栅极电流的栅/源和栅/漏分量。通过线性化栅电流密度与位置的关系,简化这些等价噪声电流分析表达式,所得的总栅极电流噪声表达式为:

mos管漏电流


常数KG可通过低频噪声实验测试获得,IG可通过直流测试得到。


(2)栅电流噪声电容等效电荷涨落模型

FET沟道中的热噪声电压涨落导致了沟道静电势分布的涨落。沟道成为MOS电容的一块平板,栅电容之间的电压涨落引起电荷涨落,将电荷涨落等效于栅电流涨落。在Van Der Ziel对JFET诱生栅噪声的早期研究之后,Shoji建立了栅隧穿效应的MOSFET模型,即是将MOS沟道作为动态分布式的RC传输线。


器件沟道位置x处跨越△x的电压涨落驱动两处传输线:一处是从x=0展伸至x=x,另一处从x=x展伸至x=L。栅电流涨落作为相应的漏一侧电流涨落和源一侧电流涨落之间的差异估算得出。在极端复杂的计算中保留Bessel函数解的首要条件,于器件饱和条件下,估算得出了栅电流涨落噪声频谱密度解析表达式为:

mos管漏电流


模型分析与探讨

mos管漏电流,MOSFET栅漏电流噪声模型分析与探讨。实验表明,超薄栅氧MOSFET栅电流噪声呈现出闪烁噪声和白噪声成分,测试曲线表明白噪声接近于散粒噪声(2qIG)。对于小面积 (W×L=0.3×10 μm2)器件,1/f噪声成分几乎为栅电流IG的二次函数,栅电流噪声频谱密度SIG(f)与栅电流IG存在幂率关系,即SIG(f)∝IGγ。


超薄栅氧隧穿漏电流低频噪声模型适用于超薄栅氧化层MOSFET低频段噪声特性表征,与等效栅氧厚度为1.2 nm栅电流噪声测试结果的对比,验证了其正确性。通过模型与实验噪声测试结果及器件模拟的对比,可用于提取慢氧化层陷阱密度分布。


唯象模型利用势垒高度涨落和源于二维电子气沟道的栅极泄漏电流的洛仑兹调制散粒噪声,来解释过剩噪声特征。低频和高频范围内,测量值和仿真值均有良好的一致性。模型将过剩噪声解释成1/f''''''''''''''''伊噪声和洛仑兹调制散粒噪声之和,能够准确预测超薄栅氧化层的MOS晶体管的过剩噪声性质并适于在电路仿真中使用。


栅电流分量噪声模型,模拟结果与低漏偏置下的1.5 nm栅氧厚度p-MOSFET的数值模拟结果和实验数据一致。该模型适用于纳米级MOSFET,仅限于描述由栅隧穿效应引起的栅漏电流涨落。模型两待定参数都可通过实验获得,可方便计算不同偏置下的点频噪声幅值。


等效电容电荷涨落模型中,栅电流通过栅阻抗产生的电压涨落经由器件跨导在沟道处得到证实。该模型仅适用于器件饱和条件下,由于忽略了衬底效应,诱生衬底电流和沟道中的高场效应,其适用性和精确度均不高。


联系方式:邹先生

联系电话:0755-83888366-8022

手机:18123972950

QQ:2880195519

联系地址:深圳市福田区车公庙天安数码城天吉大厦CD座5C1


请搜微信公众号:“KIA半导体”或扫一扫下图“关注”官方微信公众号

请“关注”官方微信公众号:提供  MOS管  技术帮助