实亿国际为什么MOS管饱和区沟道夹断了还有电流及饱和区电流公式详解-KIA MOS管
信息来源:本站 日期:2020-04-29
随着漏源电压不断增大,当达到夹断电压时,沟道厚度在漏极处减薄为零,沟道在漏极处消失,该处只剩下耗尽层,这是所谓的夹断;漏源电压继续增大,沟道的夹断点向源极方向运动,那么在沟道和漏极之间就会隔着一段耗尽区,当沟道中的电子到达沟道端头的耗尽区边界时,会立即被耗尽区内的强电场扫入漏区,所以会有电流的存在。由于电子在耗尽区内的飘移速度已达到饱和速度,不再随着电场的增大而增大,所以漏极电流达到饱和。
当漏一源之间接上+ VDS时,从源一沟道一漏组成的N型半导体区域内产生了一个横向的电位梯度:源区为零电位,漏区为+ VIB,而沟道的电位则从源端向漏端逐渐升高。在沟道的不同位置上,沟道厚度不同,源湍最厚,漏端最薄,逐渐升高。
在沟道的不同位置上,沟道厚度不同,源端最厚,漏端最薄,当VDS增大到栅一漏电位差VGS= VLS= VGS(rh)时,漏端预夹断。这个夹断区成了漏一源间电流通路上电阻最大的区。V璐的任何一点增加都必然会集中降在这里,使预夹断区具有很强的电场。
由于现在被夹的只是漏端的一个小区域,在预夹断区左边还有N沟道,这些自由电子仍可在沟道中漂移,在到达预夹断区时,就受夹断区强电场的吸引,滑入漏区。所以,在漏端预夹断后,漏一源之间仍有漏极电流ID。
MOS管就像开关。栅极(G)决定源极(S)到漏极(D)是通还是不通。以NMOS为例,图1中绿色代表(N型)富电子区域,黄色代表(P型)富空穴区域。P型和N型交界处会有一层耗尽层分隔(也叫空间电荷区,如图中白色分界所示)。VT是开关的阈值,超过阈值就开,低于阈值就开不了。栅电压越大,下面感应出来的电子越多,形成的沟道越宽。栅与沟道之间有氧化层隔离。在源漏没有电压时沟道宽窄是一样的,这很好理解。
图1. 栅压产生沟道决定MOS管源漏之间通不通
当漏极电压升高,栅极靠近漏极的相对电压就小,因此沟道受其影响宽窄不同。由于电流是连续的,所以窄的地方电流密度大,这也好理解,如图2所示。这是源漏电流IDS是随其电压VDS增大而线性增大的“线性区”。
图2.沟道宽窄受两端电压影响(线性区)
要注意的是,这时栅极电压绝对值并没有降低,靠近漏极沟道变窄的原因,是栅极的影响力部分被漏极抵消了。一部分本来可以栅吸引形成沟道的电子,就被漏极正电压拉过去了。
当漏极电压继续升高,如果超过栅电压,造成沟道右边不满足开通条件而“夹断”。之所以出现夹断点,是因为在这个点,栅极对电子的吸引力被漏极取代。这时候MOS管进入“饱和区”,电流很难继续随电压增大。
很多朋友理解不了既然这时候沟道夹断了,不是应该截止了吗?为什么还会继续有电流?原因是虽然理论上沟道已经“夹断”,但这个夹断点很薄弱。为什么说它薄弱?因为夹断点后面支撑它的不是原来P型区域,而是电压升高更吸引电子的漏极及其空间电荷区。因此电子冲入空间电荷区,就相当于几乎没有阻挡的“准自由电子”快速被漏极收集。如图3所示。
图3.沟道“夹而不断”(饱和区)
可以想象,随着靠近漏极的沟道越来越细,很多高速的电子冲过来,一部分挤过夹断点进入空间电荷区,然后被漏极正电场高速收集(形成示意图中紫色电流)。漏极电压越高,夹断点越后退,造成电子越难穿越,因此饱和区电流不再随电压增大而线性增大,毕竟不是所有电子都能冲过夹断点。源漏电流电压曲线如图4所示。
图4. 电流电压曲线
用水枪比喻就很好理解:在水管水流很急时,试图用薄片挡住是很难的,水流会呲过阻挡形成喷射,喷口越细喷射越急,如图5所示。因此“夹断”这个词容易引起误解,实际应该是“夹而不断”,电流只是被限制而非截止。
图5. 薄片很难挡住水枪喷射
当然,如果漏极的电压继续上升,它的空间电荷区持续扩张达到源极,那么源极的电子就会不受沟道和栅压的控制,直接经过空间电荷区高速到达漏极,这就是源漏直接穿通了,这时MOS管的开关功能也就作废了。
mos管饱和区电流公式,在强反型状态下饱和区中的工作。小信号参数的值因MOS晶体管的工作区域而变化。假定MOS晶体管处于VGS比阈值电压VT高得多的强反型状态,而且工作在饱和区,求这种状况下的小信号参数。
可将跨导gm表示如下:
在能够疏忽沟道长度调制效应的状况下,得到
这个跨导gm能够用漏极电流ID表示为
也能够用漏极电流ID和栅极-源极间电压VGS表示为
体跨导gmb能够由下式求得:
由式(1.18)和式(1.20),能够分别导出
所以得到

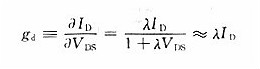
应用式(1.18),能够将漏极电导表示为
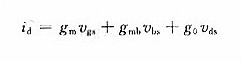
应用这些小信号参数,能够将小信号漏极电流id表示为下式:
联系方式:邹先生
联系电话:0755-83888366-8022
手机:18123972950
QQ:2880195519
联系地址:深圳市福田区车公庙天安数码城天吉大厦CD座5C1
请搜微信公众号:“KIA半导体”或扫一扫下图“关注”官方微信公众号
请“关注”官方微信公众号:提供 MOS管 技术帮助