mos管漏极电流电压与什么有关
信息来源:本站 日期:2017-09-12
漏极电流与VGS呈指数关系
至此,所考虑的MOS晶体管的工作,都是栅极—源极间电压VGS比阈值电压VT大时的状况。当VGS比VT大很多时,在栅氧化膜下方构成反型层(沟道),在漏极-源极间有电流活动,这种状态称为强反型状态。
但是,即便MOS晶体管的栅极,源极间电压VGS处在阈值电压VT以下,漏极电流也并不等于0,依然有微小的电流活动,这时MOS晶体管的工作状态叫做弱反型(weak inversion),工作区域叫做弱反型区。
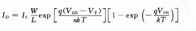
在弱反型区,漏极电流关于VGS呈指数关系增加,电流表达式为下式:
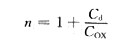
式中,Io是与制造工艺有关的参数;”叫做斜率因子(slope factor),由耗尽层电容Cd与栅氧化膜电容Cox之比按下式计算求得:

n的普通值是1~1.5。另外,n值还能够从图2.8中曲线的斜率求得。这个曲线的横轴是VGS,纵轴取logID。n越小,logID-VGS。曲线在弱反型区中直线局部的斜率就越陡,MOS晶体管的漏电流就越小。这个斜率的倒数叫做亚阈摆动(sub-threshold swing)或者亚阈斜率(subthreshold slope),其定义式如下:

亚阈摆动S表示弱反型区中漏极电流变化1个数量级所需求的栅极-源极间电压。应用式(2.12),能够得到

其单位通常用(mV/dec)表示。亚阈摆动小的MOS晶体管,意味着OFF时的漏电流小。当n=1时,室温下下面求弱反型区中的跨导gm。

由式(2.1)和式(2.l2)能够得到由该式能够看出,弱反型区中跨导与漏极电流成比例。