实亿国际

实亿国际

国家高新企业

cn

新闻中心

实亿国际mos管栅极、源极放大电路是否会出现电压的变动

信息来源:本站 日期:2017-08-18 

分享到:

栅极接地放大电路

如表3.1所示,所谓栅极接地放大电路,就是在栅极固定为一定电位的状态下,输入信号加到源极上,从漏极取出输出信号的电路。

当图3.5所示的栅极接地放大电路的源极电位(输入端)上升νin时,栅极—源极间电压VGS变小,漏极电流ID减小gnνin由于源极—漏极间电压也减小。νin假如也思索它的奉献,那么输出电压的变动νout可由下式给出:

mos管

式中,Reff=Rload//roo中右边的符号为正,这标明输出信号与输入信号同相变化。右边的(gm十l/ro)νin能够以为表示输入电压νin惹起的流过MOS晶体管电流的变化量。由于是流过有效的负载电阻Reff,所以式(3.5)示出的是输出电压的变动。

mos管

漏极接地放大电路

漏极接地放大电路是将漏极与电源电位(N沟MOS晶体管的场所)或者地电位(P沟MOS晶体管的场所)衔接,输入信号加到栅极,从源极取出信号的电路。

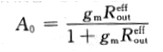
图3.6所示的漏极接地放大电路的电压增益A。由下式给出:
mos管

实亿国际 正如式(3.6)所标明的那样,漏极接地放大电路的电压增益小于1。假如gmReff》1,那么增益差不多能够视作1。

漏极接地电路具有电平转移电路的功用。当以恒流源替代输出负载电阻及load输出时,如图3.7所示,输出端Y叫,输出的只是将输人电位挪动了一定电压△V shift(=VT+2I/β)的电位。但是,由于图中MOS器件M1的源极端没有接地,所以它的阈值电压VT必需思索到衬底偏置效应的值予以变卦,这种电平转移电路由于兼备以下功用而得到应用:
mos管

(1)设定次级的输入偏置电压为恰当值(使直流电位电平挪动)的功用。

(2)将前级的信号传输给次级的功用


联系方式:邹先生

联系电话:0755-83888366-8022

手机:18123972950

QQ:2880195519

实亿国际 联系地址:深圳市福田区车公庙天安数码城天吉大厦CD座5C1


实亿国际 关注KIA半导体工程专辑请搜微信号:“KIA半导体”或点击本文下方图片扫一扫进入官方微信“关注”

长按二维码识别关注

3000万彩票-追求健康,你我一起成长 乐发IV - welcome u284彩票- 欢迎您 实亿国际(中国区)官方网站 永兴集团yx06 5630彩票(中国区)官方网站 佰利乐·(中国区)有限公司官网 金彩汇 - welcome首页