实亿国际以NMOS晶体管为例,阐明MOS的工作原理特征
实亿国际信息来源:本站 日期:2017-08-15
首先讨论将栅极与源极短路、接地(VGS=OV)时的状况。如图1.9所示的MOS晶体管。这种状态下,虽然漏极上加电压VDS,但是在漏极—源极间简直没有电流流过。为什么?如图1.10所示,这是由于此时的漏极与源极间能够等效为两个pn结二极管反向连接。
1.VGS从0V→渐增加
当栅极—源极间的电压VGS从0V逐步增加时(图1.11),那么在一定电压下,如图1. 12所示,在栅氧化膜下面会构成称为沟道的n型化的区域,即构成n型反型层。这个沟道就是将源区与漏区l连接起来的电子通路。这时如图1.12所示,当漏极加电压VDS时,漏极—源极间就有电流流过,该电流叫做漏极电流。把构成沟道所必需的栅极—源极间的电压叫做阈值电压VT,关于Si MOS晶体管来说,大约是0.6V。用VTN、VTP分别表示NMOS晶体管和PMOS晶体管的阚值电压。栅极—源极间所加电压VGS高于阈值电压VT构成沟道的状态称为强反型状态(strong inversion)。

2.当VGS大于VT,VDS增加时
在坚持VGS大于VT前提下,VDS逐步从OV增大时,如图1.13(a)所示,漏极电流ID也在增加。这时的漏极电流表达式由下式给出:

式中,W是MOS晶体管的沟道宽度;L是MOS晶体管的沟道长度。w与L都是重要的参数,沟道宽度W和长度L如何肯定是晶体管设计中的重要问题,这里首先需求留意的是,漏极电流ID与沟道宽度W成比例,而与沟道长度L成反比。
我们再来看式(1.1)中的其他参数。μ是载流子迁移率,在NMOS与PMOS中分别是电子和空穴的迁移率,用μn和μp表示。其典型值为

就是说,PMOS与NMOS的迁移率相差3倍。假如晶体管的电流驱动才能相同,那么NMOS的尺寸大小就只要PMOS的1/3。
Cox是MOS晶体管单位面积的栅电容,由下式给出:
式中,εox真空介电常数(8.85X10-14[F/cm]),εox为栅氧化膜的相对介电常数(SiO2是3.9);tox是栅氧化膜的厚度。
式(1.1)表示的漏极电流表达式适用的条件是VGS>VT,VDS≤VGS-VT。在这个条件下MOS晶体管的工作区域称为非饱和区,也叫做线性区(linear region)
当VDS处于OV左近时,精确地说,是当VDS《2(VGS-VT)时,式(1.1)右边的第2项能够疏忽不计,能够近似为下式:

由该式能够看出,当VDS《2(VGS-VT)时,ID与VDS成比例。实践上,如图1.13(b)所示,在VDS接近ov的区域,能够看到ID与VDS,成比例地增加。随着VDS的增大,式(1.1)中的-VDS2/2变得不可疏忽,这时ID的增加就迟缓了。
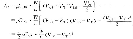
在VGS大于VT的强反型状态,假如漏极-源极电压进一步增加,到达VDS=VGS-VT时,漏极电流ID就变为下式:

在漏极-源极间电压进一步增加的状况下(也就是VDS>VGS -VT),漏极电(流不再像前面那样增加,根本上是一定值,其值由式(1.4)给出。这个工作区域(VDS>VGS-VT)称为饱和区。
4.模仿电路工作在饱和区
图1. 14示出漏极电流ID与漏极-源极间电压VDS的关系。非饱和区与饱和区R的分界是

图1. 15是以栅极-源极间电压VGS为参变量的状况下漏极电流ID与漏极-源极间电压VDS的关系。随着VGS的增加,ID也在增。虚线表示饱和区与非饱和区的分界。能够看出,VGS越高为了使晶体管丁作在饱和区就需求更大的VDS。

再来讨论以栅极-源极间电压VGS为横轴时漏极电流ID的变化。当MOS晶体管工作在饱和区时,由于这时的ID由式(1.4)给出,所以如图1.16所示,ID与VGS的关系是2次方特性。
取式(1.4)两边的平方根,就是

能够看出,ID是VGS的一次函数。图1.17示出ID与VGS的关系。从该图中可以看出,在VGS>VT时,ID是VGS的一次函数。外插直线与横轴VGS的交点就是阈值电压VT。