实亿国际

实亿国际

国家高新企业

cn

新闻中心

电子成材器件以及如何让电阻集成的原因

信息来源:本站 日期:2017-07-05 

分享到:

电子无源器件

实亿国际 ◆14.1.1  集成电路电阻

实亿国际 为了构成集成电路电阻,可以淀积一层具有阻值的薄膜在硅衬底上,然后运用图形曝光技术和刻蚀定出其图样,也可以在生长于硅衬底上的热氧化层上开窗,然后写入(或是涣散)相反导电型杂质到晶片内,图14.3闪现运用后者方法构成的两个电阻的顶视图和截面图,一个是曲折型,另一个是直条型.

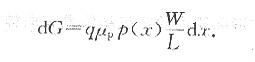
实亿国际 首要考虑直条型电阻.在距表面深为х处、平行于表面厚度dχ的p型材料薄膜层的微分电导dG(如B-B截面所示)为式

中w是直条的宽度,L是直条的长度(假定先忽略端点的触摸面积),μp是窄穴迁移率,p为掺杂的浓度,这个直条型电阻的悉数写入区的电导为



此处xi是结深度.假定",的值(为空穴浓度的函数)和p(χ)散布是已知的,则由式(2),可以求得悉数电导为



实亿国际 此处,一个正方形电阻的电导,也就是当L=w时,G=g.因此,电阻为

此处l/g通常用符号R口定义,称为薄层电阻(sheet resistance,又称为方块电阻).薄层电阻的单位是Q,但习惯上以欧/方块(Ω/口)为单位.

由如图14.3所示的掩模版定义出不同的几何图样,可同时在一个集成电路中制造出许多不同阻值的电阻.因为对所有电阻而言工艺步骤是相同的,因此将电阻值的大小分成两部分是很方便的:由离子注入(或是扩散)工艺决定薄层电阻(R□);由图样尺寸决定L/W 例.一旦R口已知,电阻值可以由L/W的份额得知,或是由电阻图样中的方块数目得知(每个方块的面积为WXW).端点触摸面积会添加额定的电阻值至集成电路电阻中,就图)4.3中类型的电阻,每个端点触摸对应到大概o.65个方块.对曲折型电阻而言,在曲折处的电场线散布不是均匀地跨过电阻的宽度,而是密布于内侧的转角处.因此在曲折处的一个方块并不精确地等于一个方块,而是约为o.65个方块.


实亿国际 联系方式:邹先生

实亿国际 联系电话:0755-83888366-8022

实亿国际 手机:18123972950

实亿国际 QQ:2880195519

实亿国际 联系地址:深圳市福田区车公庙天安数码城天吉大厦CD座5C1


关注KIA半导体工程专辑请搜微信号:“KIA半导体”或点击本文下方图片扫一扫进入官方微信“关注”

实亿国际 长按二维码识别关注

3000万彩票-追求健康,你我一起成长 乐发IV - welcome u284彩票- 欢迎您 实亿国际(中国区)官方网站 永兴集团yx06 5630彩票(中国区)官方网站 佰利乐·(中国区)有限公司官网 金彩汇 - welcome首页