实亿国际

实亿国际

国家高新企业

cn

新闻中心

mos管模型及三个小信号参数

信息来源:本站 日期:2017-08-18 

分享到:


小信号等效电路


  模仿电路解析包括直流解析和交流小信号解析。这里导入小信号解析时所需要的小信号等效电路。小信号等效电路模型是使计算简单化的线性模型。


三个小信号参数gm、gmb、go


  如前所述,模仿电路是在MOS晶体管器件的饱和区停止工作的。饱和区中,MOS晶体管的ID-VGS特性是ID∝ (VGS_VT)2,ID与Gs之间不是线性关系。但是,如图2.1所示,在微小电压νgs与微小电流id之间能够看作线性关系近似认为id∝ νgs

mos管

  图2.2示出MOS晶体管的低频小信号等效电路。这里运用的小信号参数gm、gmb、go定义如下(单位都是西[门子],S)。

  (1)跨导(transconductance) gm:

mos管

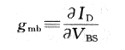
(2)体跨导(bulk  transconductance)gmb:

mos管

mos管

(3)漏极电导(grain conductance)go:
mos管

  跨导gm表示图2.1中示出的微小区域中直线的斜率。漏极电导go表示图2.3中示出的ID-VDS特性的斜率,go=1/ro(ro是输出电阻)。

mos管





3000万彩票-追求健康,你我一起成长 乐发IV - welcome u284彩票- 欢迎您 实亿国际(中国区)官方网站 永兴集团yx06 5630彩票(中国区)官方网站 佰利乐·(中国区)有限公司官网 金彩汇 - welcome首页