mos线性阈值模型
信息来源:本站 日期:2017-07-06
MOSFET按比例减少MOSFET尺寸的缩减在一开端即为一持续的趋向.在集成电路中,较小的器件尺寸可到达较高的器件密度,此外,较短的沟道长度町改善驱动电流(ID~1/L)以及工作时的特性,但是,由于电子器件实亿国际尺寸的缩减,沟道边缘(如源极、漏极及绝缘区边缘)的扰动将变得愈加重要,因而器件的特性将不再恪守长沟道近似(long channel approximation)的假定.
6.3.1 短沟道效应(short-channel effect)式(45)中的阈值电压是基于6.2,l节中的突变沟道近似推导得出的,也即衬底耗尽区内的电荷仅由栅极电压产生的电场所感应出.换言之,式(45)中的第三项与源极到漏极间的横向电场无关.但是随着沟道长度的缩减,源极与漏极问的电场将会影响电荷散布、阈值电压控制以及器件漏电等器件特性,
当沟道的边缘效应变得不可疏忽时,随着沟道的缩减,n沟道MOSFET的阈值电压通常会变得不像原先那么正,而关于p沟道MOSFET而言,则不像原先那么负,图6.23显现了在VDS=o.05V时VT下跌的现象.阈值电压F跌可用如图6.24所示的电荷共享(chargesharing)模型来加以解释,此图为一个n沟道MOSFET的剖面图,且器件工作在线性区(VDs≤o.1V),因而漏极结的耗尽区宽度简直与源极结相同.由于沟道的耗尽区与源极和漏极的耗尽区堆叠,由栅极偏压产生的电场所感应生成的电荷可用这梯形区域来近似同等.
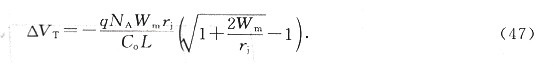
实亿国际 阈值电压漂移量AVT是由于耗尽区由长方形LXWm变为梯形(L+L‘) Wm/2,而使得电荷减少所形成的.△VT为(参考习题27):
二、漏场感应势垒降落
当短沟道MOSFET的漏极电压由线性区增至饱和区时,其阈值电压下跌将更严重(如图6.23所示).此效应称为舞场感应势垒降落.数个不同沟道长度的n沟道器件的源极与漏极间的外表电势如图6.25所示,点线为VDS=o,实线为VDS>o.当栅极电压小于VT时,p—型硅衬底在n+源极与漏极问构成一势垒,并限制电子流由源极流向漏极.对工作在饱和区的器件而言,漏极结的耗尽区宽度远大于源极结,在长沟道的例子中,增加漏极结耗尽区宽度并不会影响势垒高度(参阅图6.25中lμm的例子).但当沟道长度足够短时,漏极电压的增加将减小势垒高度(图6.25中o.3μm与o.5μm的例子),此归因于漏极与源极太接近所形成的外表区的电场浸透,此势牟降低效应会招致电子由源极注入漏极,形成亚阈值电流的增加.因而在短沟道器件中,阂值电压会随漏极电压增加而降低.

实亿国际 三、本体穿通
DIBL形成在Si02/Si的界面构成漏电途径,当漏极电压足够大时,可能也会有显著的漏电流由源极经短沟道MOSFET的本体流至漏极,此也可归因于漏极结耗尽区的宽度会随着漏极电压增加而扩张.在短沟道的MOSFET中,源极结与漏极结耗尽区宽度的总和与沟道长度相当.当漏极电压增加时,漏极结的耗尽区逐步与源极分离并,因而大量的漏极电流可能会由漏极经本体流向源极。图6.27为短沟道MOSFET(L=0.23μm)的亚阈值特性.当漏极电压由0.1V增加至IV时,DIBL所形成亚阈值特性的平行位移如图6,26(b)所示;而当漏极电压再增加至4v时,其亚阈值摆幅将远大于低漏极偏压时的值,因而,器件将会有十分高的漏电流,这也显现出本体穿通效应相当显著,栅极不再可以将器件完整关闭,且无法控制漏极电流,高漏电流将限制短沟道MOSFET器件的工作
联系方式:邹先生
联系电话:0755-83888366-8022
手机:18123972950
QQ:2880195519
联系地址:深圳市福田区车公庙天安数码城天吉大厦CD座5C1
请搜微信公众号:“KIA半导体”或扫一扫下图“关注”官方微信公众号
请“关注”官方微信公众号:提供 MOS管 技术帮助