实亿国际

实亿国际

国家高新企业

cn

新闻中心

MOS晶体管自身产生的噪声中,特别重要的是热噪声和闪烁噪声

信息来源:本站 日期:2017-08-16 

分享到:

MOS晶体管的噪声

实亿国际 MOS晶体管自身产生的噪声中,特别重要的是热噪声和闪烁噪声(1/f噪声)。


沟道电阻产生的热噪声


电子在电阻巾作随机运动,因此电阻的两端会产生噪声电压,这种噪声电压称为热噪声。MOS晶体管的沟道具有电阻成分,所以会产牛热噪声。

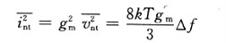
实亿国际 如图1. 34(a)所示,MOS晶体管的热噪声可以用不含热噪声的MOS晶体管以及与栅极连接的电压源束表示。这时,强反型的饱和区中MOS晶体管的热噪声

实亿国际 用下式表示:

实亿国际 式中,R为波尔兹曼常数(1. 38X10-23.]/K);T为绝对温度,△f为带宽;gm为MOS晶体管的跨导。

频谱密度ν2nt△与频率没有关系,是一定的,显示出白噪声特性。

图1. 34(b)是用与不含热噪声的M()S晶体管并联电流源表示的热噪声模型。这时MOS晶体管的热噪声电流由下式出:

MOS晶体管的热噪声频谱密度ν2nt/△与频率没有关系,是一定的,显示出白噪声特性。

OP放大器IC等商品中,噪声电压νnt或噪声电流int往往是作为每Hz值表示的。不过可以看iH,给Hi的是式(1.22)或者式(1.23)平方根。

闪烁噪声(1/f噪声)

所谓闪烁就是起伏的意思。闪烁噪声与频率的倒数(]/f)成比例,所以也称为1/f噪声。这种噪声起伏的起因主要来自两方面。

1.载流子数目的起伏

在Si晶体内部相邻原子是靠电子共有的共价键结合起来的。但是在Si与SiO2的界面上,存在没有构成共价键的悬挂键。这些悬挂键俘获电子或者释放电子的过程是随机地反复进行的,因此使漏极电流产生起伏,这就是载流子数目的起伏。

如图1. 35所示,MOS晶体管1/f噪声可以用不含噪声的MOS晶体管以及接在栅极上的电压源来表示,这时栅极换算噪声电压tνnf用下式给出:

式中,K1是噪声系数。

2.迁移率的起伏

实亿国际 裁流子与起伏的品格之间的相互作用,被认为是载流子迁移率发生起伏的原因,这叫做迁移率起伏。这种迁移率起伏引起的栅极换算噪声电压νnf用下式表示:式中,K2是与VGS有依赖关系的噪声系数(与前面的K1的单位不相同)。

NMOS晶体管巾载流子的起伏是主要的,而PMOS晶体管中迁移率的起伏处于支配地位。不论哪种场合,]/f噪声都与频率f以及MOS晶体管的面积(WXL)成反比。

PMOS晶体管的l/f噪声小

实亿国际 n+多晶硅栅的NMOS晶体管中,在Si/Si02界面附近的Si表面上会产生沟道,叫做表面沟道。而n+多晶硅栅的PMOS晶体管,在离开Si/SiO2界面附近的Si内部会产生沟道,这叫做埋入沟道。

实亿国际 表面沟道晶体管中载流子比较容易被存在于Si/Si02界面上的界面能级俘获,而埋人沟道晶体管中的沟道距离Si/Si0:界面比较远,所以俘获载流子比较困难。

因此,一般来说,PMOS晶体管的1/f噪声要比尺寸相同的NMOS晶体管小。

降低l/f噪声的要点

同时考虑热噪声和1/f噪声时,MOS晶体管的噪声电压可表示为

图1. 36示出其噪声频谱密度的频率特性。

MOS晶体管的1/f噪声比双极晶体管大,所以如何抑制l/f噪声对于CMOS模拟电路就非常重要。降低MOS晶体管的1/f噪声的方法可以归纳为以下几点:

实亿国际 (])增大MOS晶体管的面积(WXL)。

(2)对于电路的噪声特性影响大的晶体管(例如差动放大电路的输入差动对),采用PMOS晶体管。

(3)单位面积栅电容大的晶体管的l/f噪声小。就是说减薄栅氧化膜的厚度,有利于降低l/f噪声。


3000万彩票-追求健康,你我一起成长 乐发IV - welcome u284彩票- 欢迎您 实亿国际(中国区)官方网站 永兴集团yx06 5630彩票(中国区)官方网站 佰利乐·(中国区)有限公司官网 金彩汇 - welcome首页