实亿国际

实亿国际

国家高新企业

cn

新闻中心

实亿国际cmos接口电路-CMOS与放大器的接口电路分析-KIA MOS管?

实亿国际信息来源:本站 日期:2017-07-11 

分享到:


CMOS与放大器的接口电路的特征?

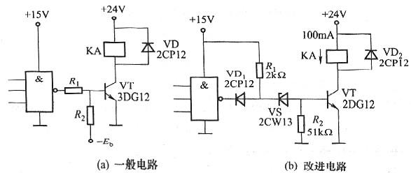
假如CMOS电路的负载(执行元件)是继电器,则电路必需具有较大的带负载才能。图7-6所示为非门驱动一个分立元件的开关放大器件的接口电路。


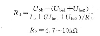
图7-6(a)、(b)中三极管的集电极负载为继电器KA线圈。其工作电流为lOOmA。若晶体管的β=25,则需求4mA的基极电流。这对与非门来说是个拉电流负载。如与非门不能提供这样大的拉电流,可采用图7-6(b)所示的电路。由电阻Ri、二极管VD1和稳压管Vs组成变换电路。当与非门输出高电平常,VD1截止。VS击穿,晶体管VT的基极电流由+15V电源经R1、VS和V1的发射结来提供,VT导通,继电器KA吸合。当与非门输出低电1平常,灌电流经+15V电源经R1、VDi流入与非门,这个电流只要几毫安,这样可防止冈拉电流过大而惹起输出高电平的降落。这时VS截止,VT截止,KA释放。





在图7—6(a)所示电路中,R2普通可取4.7~10kΩ,简化时也可不用。R1的选取应使晶体管取得足够的基极电流而到达饱和。设继电器KA的工作电流为Ic=50mA,晶体管的β=30,而普通CMOS输出高电平Uoh =2. 7~4. 2V,则



式中  Ube一——管的正向压降,  普通取o.65-0. 75V。
关于图7-6(c)所示电路,由三极管VT1, VT2组成达林顿电路。其放大倍数β=β1β2(β1、β2分别为VT1和VT2的放大倍数),VT1所需求的基极电流为


电阻R1、R2可按下式选取:


相关搜索:

CMOS反相器 CMOS集成门电路 CMOS电路


实亿国际 联系方式:邹先生

联系电话:0755-83888366-8022

手机:18123972950

QQ:2880195519

联系地址:深圳市福田区车公庙天安数码城天吉大厦CD座5C1


实亿国际 关注KIA半导体工程专辑请搜微信号:“KIA半导体”或点击本文下方图片扫一扫进入官方微信“关注”

长按二维码识别关注

3000万彩票-追求健康,你我一起成长 乐发IV - welcome u284彩票- 欢迎您 实亿国际(中国区)官方网站 永兴集团yx06 5630彩票(中国区)官方网站 佰利乐·(中国区)有限公司官网 金彩汇 - welcome首页