如何正确理解mos管衬底偏置效应
实亿国际信息来源:本站 日期:2017-08-16
图1. 33所示电路为例,剖析衬底偏置效应的产生。
由于MOS晶体管M1的源极与基底都接地,所以不发作衬底偏置效应。而M2源极的电位VS比接地的基底的电位VB=0要高,这就意味着VSB>0。其结果,M2发作基底偏置效应,使M2的阈值电压比M1高。
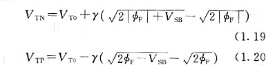
NMOS晶体管的阈值电压VTN、PMOS晶体管的阈值电压VTP分别由下式给出:



式中,VTO是VSB=0时(即不发牛衬底偏置效应时)的阈值电压。它的极性在NMOS中是VTO>0,关于PMOS是VTO
式中,q是电子电荷,1.6X 10-19[C];εsi是硅的相对介电常数,εsi= 11.7;Nsub是衬底(阱)的杂质浓度。γ越大,表示衬底偏置效应越强。关于NMOS和PMOS来说,与阈值电压有关的参数的极性是不同的,表1.1列出这些参数及其极性。
实亿国际 上面引出了多个物理参数。不过重要的是:当源极—基底间的pn结加反向电压时,MOS晶体管的阈值电压会上升。