实亿国际

实亿国际

国家高新企业

cn

新闻中心

实亿国际mos晶体管的沟道长度影响 增加漏极-源极件电压会受到什么影响呢

信息来源:本站 日期:2017-08-16 

分享到:


MOS管夹断与沟道长度调制

实践工作中,晶体管的沟道长度对特性式有一定的影响,这叫做沟道长度调制。

1.MOS晶体管在非饱和区的行为

下面以NMOS晶体管为例,讨论MOS晶体管处于导通状态时的沟道厚度。图1.25中,假如源极、漏极的电位都是OV,则VGS=VGD。这时,假如VGS>VT,那么,如图1. 25 (b)所示,在源区与漏区之间会构成厚度平均的沟道。
假如坚持VGS>VT的状态,从OV开端增加漏极的电压,由于栅极-漏极间电压表示为VGD=VGS-VDS,所以当VDS VGD>VGS-(VGS-VT)
∴VGD>VT
就是说,加在栅极—漏极间的是大于阈值电压VT的电压。

所以当MOS晶体管工作在非饱和区时,栅极-源极间电压VGS也好,栅极-漏极间电压VGD也好,都比阈值电压VT高,所以构成了从源区到漏区的沟道。但是,由于VGD=VGS-VDS,所以VGD比VGS小。那么在漏区左近硅外表感应的电子数目要比源区左近感应的电子数目少。其结果,如图1. 26所示,漏极左近的沟道厚度就比源区左近沟道的厚度薄。

2.非饱和区与饱和区的分界

假如继续增加漏极-源极间电压VDS,以致于VDS=VGS-VT,这时的工作区域相当于非饱和区与饱和区的分界处。由于栅极—漏极间电压VGD=VGS-VDS=VT,所以栅极-漏极间电压就与阈值电压VT相等。就是说,如图1. 27所示,漏区左近的沟道简直消逝了,把沟道消逝的状态称为夹断。
继续再增大漏极—源极间电压,就变成VDS>VGS-VT,NMOS晶体管就工作在饱和区了。这时,栅极—漏极间电压VGD=VGS-VDS

3.夹断时漏极电流是一定值

如图1.29所示,设沟道端与漏区端之间耗尽层的长度为△L,那么漏极电流可表示为


假如增大漏极—源极间电压VDS,由于加在耗尽层上的电压增加了,所以耗尽层长度△L也增加。不过在L比△L大很多的状况下,式(1.12)中的△L能够疏忽不计,于是就得到

这时漏极电流ID与漏极—源极间电压VDS无关,是根本不变的值,关于这个问题可作如下了解。
由于夹断点的电位总是VGS-VT,所以饱和区沟道的横向电场E为:

VDS的增加也使耗尽层长度△L延伸。假如沟道长度L比△L大很多,AL能够忽略不计时,横向电场F的大小就是:这时就与VDS无关。其结果,即便VDS增加,饱和区中的漏极电流ID也是一定的值。
在非饱和区中不产生夹断点。由于从源区到漏区都构成沟道,所以漏极—源极间电压VDS是加在沟道长度L上的。因而沟道中的横向电场E与VDS成比例地增加:

实亿国际 所以漏极电流ID的增加与VDS成比例。


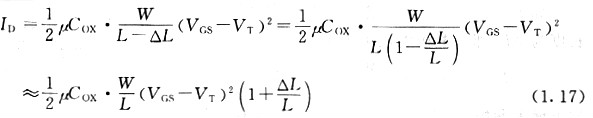
4.沟道长度变短时△L不可无视—一沟道长度调制

假如MOS晶体管的沟道长度L变短,那么式(1.12)中的△L就不可疏忽。随着VDS的增加,△L也增加,使有效沟道长度(L-△L)变短,因而如图1. 30所示,漏极电流增加,这叫做沟道长度调制效应。



思索到沟道长度调制,饱和区的漏极电流由下式给出:

△L与VDS的关系亲密,假如令式(1.17)中的△L/L=λVDS,就得到该式中的λ叫做沟道长度调制参数,λ越大,表示沟道长度调制效应越强。
为了抑止沟道长度调制效应,有效的方法是增大MOS晶体管的沟道长度L,使λ变小。
式(1.18)中,假如令VDS=-1/λ,则ID=0。

3000万彩票-追求健康,你我一起成长 乐发IV - welcome u284彩票- 欢迎您 实亿国际(中国区)官方网站 永兴集团yx06 5630彩票(中国区)官方网站 佰利乐·(中国区)有限公司官网 金彩汇 - welcome首页