实亿国际

实亿国际

国家高新企业

cn

新闻中心

小信号参数MOS晶体管的工作区域是否会有什么变化,小信号参数是什么

信息来源:本站 日期:2017-08-22 

分享到:

在强反型状态下饱和区中的工作

小信号参数的值因MOS晶体管的工作区域而变化。假定MOS晶体管处于VGS比阈值电压VT高得多的强反型状态,而且工作在饱和区,求这种状况下的小信号参数。
应用第1章的式(1.18),可将跨导gm表示如下:

在能够疏忽沟道长度调制效应的状况下,得到

这个跨导gm能够用漏极电流ID表示为

实亿国际 也能够用漏极电流ID和栅极-源极间电压VGS表示为

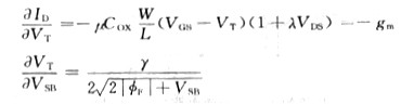
体跨导gmb能够由下式求得:

由式(1.18)和式(1.20),能够分别导出

所以得到

应用式(1.18),能够将漏极电导表示为

应用这些小信号参数,能够将小信号漏极电流id表示为下式:

CMOS模仿电路中主要运用的下作区域是强反型的饱和区。表2.1列出这个工作区域中的小信号参数。
mos管


实亿国际 联系方式:邹先生

联系电话:0755-83888366-8022

手机:18123972950

实亿国际 QQ:2880195519

实亿国际 联系地址:深圳市福田区车公庙天安数码城天吉大厦CD座5C1



实亿国际 关注KIA半导体工程专辑请搜微信号:“KIA半导体”或点击本文下方图片扫一扫进入官方微信“关注”

实亿国际 长按二维码识别关注

3000万彩票-追求健康,你我一起成长 乐发IV - welcome u284彩票- 欢迎您 实亿国际(中国区)官方网站 永兴集团yx06 5630彩票(中国区)官方网站 佰利乐·(中国区)有限公司官网 金彩汇 - welcome首页