模拟cmos集成电路设计 CMOS电路最常用的是什么电路-涨知识
信息来源:本站 日期:2017-08-21
基本电流源电路
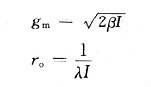
偏置电路有两种,即电流偏置电路和电压偏置电路。设计CMOS模拟电路时最常用的是电流偏置电路。这是由于MOS晶体管的跨导gm和输出电阻ro是决定电路工作(放大增益和频率特性)的基本参数,如式(7.1)所示,这一点可以用电流I简单地表现出来:

式中,β是沟道长宽比有关的参量;入是ID-VDS特性的斜率。
理想的电流偏置源电路是在工作环境温度、电源电压、输出电压有变动的情况下仍然能够持续提供恒定电流的电路。
首先,引见对外部提供的参考电流进行复制、在电路必要的中央制造电流源的方法。为了复制电流,需求监视参考电流的机构。最简单的方法就是二极管衔接的MOS晶体管。如图7.1所示,假设运用二极管衔接器件,那么参考电流Iref就被变换为栅极电压VGS:

考虑到电流开端流过MOS晶体管时的栅极电压VGS,就是阈值电压VT,可以看出,过驱动电压△ov是为了流过电流Iref,在栅极上额外多加的电压。思索到Mos晶体管的栅极电流是由栅极—源极间电压决议的(前提是工作在饱和区VDS
实亿国际 联系方式:邹先生
联系电话:0755-83888366-8022
实亿国际 手机:18123972950
QQ:2880195519
联系地址:深圳市福田区车公庙天安数码城天吉大厦CD座5C1
实亿国际 关注KIA半导体工程专辑请搜微信号:“KIA半导体”或点击本文下方图片扫一扫进入官方微信“关注”
长按二维码识别关注