实亿国际MOS管二级效应-背栅效应、沟道长度调制效应、亚阈值效应详解-KIA MOS管
信息来源:本站 日期:2018-11-27
mos管场效应管(FET),把输入电压的变化转化为输出电流的变化。FET的增益等于它的跨导, 定义为输出电流的变化和输入电压变化之比。市面上常有的一般为N沟道和P沟道,详情参考右侧图片(P沟道耗尽型MOS管)。而P沟道常见的为低压mos管。
一个电场在一个绝缘层上来影响流过晶体管的电流。事实上没有电流流过这个绝缘体,所以FET管的GATE电流非常小。最普通的FET用一薄层二氧化硅来作为GATE极下的绝缘体。这种晶体管称为金属氧化物半导体(MOS)晶体管,或,金属氧化物半导体场效应管(MOSFET)。因为MOS管更小更省电,所以他们已经在很多应用场合取代了双极型晶体管。
MOS管的二级效应主要有三种:背栅效应、沟道长度调制效应、亚阈值效应。
在很多情况下,源极和衬底的电位并不相同。对NMOS管而言,衬底通常接电路的最低电位,有VBS≤0;对PMOS管而言,衬底通常接电路的最高电位,有VBS≥0。这时,MOS管的阈值电压将随其源极和衬底之间电位的不同而发生变化。这一效应称为“背栅效应”。
以NMOS管为例,当NMOS管VBS<0时,阈值电压的变化规律。随着VGS上升,栅极吸引衬底内部的电子向衬底表面运动,并在衬底表面产生了耗尽层。当VGS上升到一定的电压——阈值电压时,栅极下的衬底表面发生反型,NMOS管在源漏之间开始导电。
阈值电压的大小和耗尽层的电荷量有关,耗尽层的电荷量越多,NMOS管的开启就越困难,阈值电压——也就是开启NMOS需要的电压就越高。当VBS<0时,栅极和衬底之间的电位差加大,耗尽层的厚度也变大,耗尽层内的电荷量增加,所以造成阈值电压变大。随着VBS变小,阈值电压上升,在VGS和VDS不变的情况下,漏极电流变小。因而衬底和栅极的作用类似,也能控制漏极电流的变化。所以我们称它为“背栅”作用。
在电路设计上可采取一些措施来减弱或消除衬偏效应,例如把源极和衬底短接起来,当然可以消除衬偏效应的影响,但是这需要电路和器件结构以及制造工艺的支持,并不是在任何情况下都能够做得到的。例如,对于p阱CMOS器件,其中的n-MOSFET可以进行源-衬底短接,而其中的p-MOSFET则否;对于n阱CMOS器件,其中的p-MOSFET可以进行源-衬底短接,而其中的n-MOSFET则否。
另外可以改进电路结构来减弱衬偏效应。例如,对于CMOS中的负载管,若采用有源负载来代替之,即可降低衬偏调制效应的影响(因为当衬偏效应使负载管的沟道电阻增大时,有源负载即提高负载管的VGS来使得负载管的导电能力增强)。
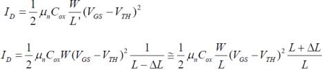
MOS晶体管中,栅下沟道预夹断后、若继续增大Vds,夹断点会略向源极方向移动。导致夹断点到源极之间的沟道长度略有减小,有效沟道电阻也就略有减小,从而使更多电子自源极漂移到夹断点,导致在耗尽区漂移电子增多,使Id增大,这种效应称为沟道长度调制效应。
当MOS管工作在饱和区,导电沟道产生夹断,沟道的长度从L变成了L’,L’
此时电流公式改写为:

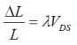
我们采用一个简单的参数λ来表示VDS对漏极电流ID的影响,定义:
由此可以得到考虑了沟道长度调制效应的MOS管饱和区的电流公式:
由于λ∝1/L,对于长沟道的器件而言(例如L>10um), λ的数值很小,λVDS<<1,所以这个误差可以忽略。而沟道越短,这个误差就越大。事实上,对于短沟道的MOS管,用一个简单的参数λ来体现沟道长度调制效应是非常不准确的。因而我们有时会发现,电路
电路仿真的结果和用公式计算出来的结果完全不同。所以说一阶的近似公式更主要的是起到电路设计的指导作用。
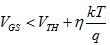
在前面对MOS管导电原理的分析中,我们认为当栅源电压VGS
来表示。其中ID0是和工艺有关的参数,η是亚阈值斜率因子,通常满足1<η<3。当VGS满足
的条件时,一般认为MOS管进入了亚阈值区域.
当
时,称MOS管工作在强反型区。
当
时,时称MOS管工作在强反型区。
强反型区和弱反型区的划分其实也是对MOS管实际工作特定的一种近似,只是它比前面讲到的MOS管的一阶近似更加准确。从公式上分析,强反型区和弱反型区之间同样存在着电流不连续的问题。为了解决这一问题,也是为了建立更精确的MOS管模型,在这两个区之间又定义了中等反型区。
对于斜率因子η的解释要从MOS管的电流变化讲起。表征亚阈值特性的一个重要参数是栅极电压的变化幅度,也就是MOS管从电流导通到电流截止时所需要的栅极电压的变化量。这一特性用亚阈值斜率S来表示。S定义为亚阈值电流每变化10倍(一个数量级)所要求栅极电压的变化量。S越小意味着MOS管的关断性能越好。
联系方式:邹先生
联系电话:0755-83888366-8022
手机:18123972950
QQ:2880195519
联系地址:深圳市福田区车公庙天安数码城天吉大厦CD座5C1
请搜微信公众号:“KIA半导体”或扫一扫下图“关注”官方微信公众号
请“关注”官方微信公众号:提供 MOS管 技术帮助