实亿国际

实亿国际

国家高新企业

cn

新闻中心

CMOS构成AB级输出电路的办法以及CMOS AB级输出电路的结构

实亿国际信息来源:本站 日期:2017-08-30 

分享到:


基于CMOS的普通的AB级输出电路


实亿国际 图9.24示出一例用CMOS构成AB级输出电路的办法。输出晶体管M,和Mz两个栅极间并联衔接着n沟MOS晶体管M3和p沟MOS晶体管M4,加偏置电流Ibias并使ID3+ID4=Ibias。而且,M3和M4的栅极分别加偏置电压Vbias1和Vbias2。假如输入电压Vin降落,那么M3的栅极—源极间电压VGS3增加,流过M3的电流ID3增加。这时,由于ID4=Ibias-ID3,所以流过M4的电流ID4减少。其结果VSG4减小,A点的电位降低了。

mos管

实亿国际 当输入电压Vi。上升时,M3的栅极—源极间电压VGS3减小,流过M3的电流减小。由此,流过M4的电流ID4增加。其结果VSG4增加,A点的电位上升了。


实亿国际 图9. 25示出包含了Vbias1和Vbias2的偏置电路在内的AB级输出电路。

mos管

如今假定M3、M5晶体管的尺寸分别与M4和M7的晶体管尺寸相等,剖析在Iout=0的稳定状态下流过各途径的电流。假如流过M3和M4的电流相等,那么各自流过Ibias。由于当(W/L)3=(W/L)5时流过M3和Ms 的电流相等,所以VGS3=VGS5。其结果,Vin=VB。由于M2和M6的栅极—源极间电压变得相等,所以有

同样地,由于当(W/L)4=(W/L),时流过M4和M7的电流相等,所以VGS4=VGS7。其结果,VA=VC。由于M1和M8的栅极—源极间电压变得相等,所以有

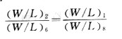
实亿国际 由于假定Jout=0,所以Ipull=Ipush=Iq。由式(9.22)、式(9.23),晶体管的尺寸就设定为




联系方式:邹先生

联系电话:0755-83888366-8022

手机:18123972950

QQ:2880195519

联系地址:深圳市福田区车公庙天安数码城天吉大厦CD座5C1


实亿国际 关注KIA半导体工程专辑请搜微信号:“KIA半导体”或点击本文下方图片扫一扫进入官方微信“关注”

实亿国际 长按二维码识别关注