CMOS OP放大器的构造、差动放大电路与源极接地电路组合
信息来源:本站 日期:2017-08-22
实亿国际 根本电路是差动放大+源极接地
图9.1示出最根本的CMOS OP放大器的构造。它是由差动放大电路与源极接地电路组合而成的2级放大OP放大器(2-stage op-amp)。差动放大电路作为OP放大器的输入级(初级),第2级的源极接地电路兼有输出级的作用。
实亿国际 普通来说,OP放大器内部设计的差动放大电路或源极接地电路的放大幅度与构成办法有很大关系。在低频范围大约是几百倍到几千倍。所以,希望到达几万到几十万倍以上放人幅度的通用OP放大器,普通都是2级构造。OP放大器为了可以稳定地工作,需求用电容器Cc停止必要的相位补偿。
图9.2所示的2级构造的OP放大器,是将图9.1中的相位补偿电容Cc去掉后的2级放大电路。C1代表初级的输出(A端)的寄生电容成分。C2是输出端寄生电容与负载电容CL的总和。图9.3是这个电路的小信号等效电路。这里的R1是初级(差动放大电路)的输出电阻,R2是输出级的输出电阻,分别由下式给出:

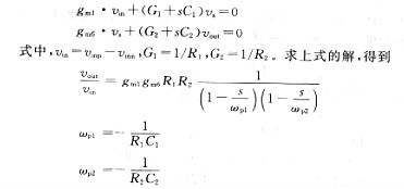
关于图9.3的小信号等效电路,下式成立:

由此就可以求得电压增益。这里的Wpl、Wp2表示频率特性的极点。低频端的极点叫做第一极点( first pole)或主极点(dominant pole),高频端的极点叫做第二极点(second pole)或非主极点(non-dominant pole)。