实亿国际

实亿国际

国家高新企业

cn

新闻中心

LLC串联谐振工作原理与电路- MOSFET电容在LLC串联谐振电路中的作用-KIA MOS管

信息来源:本站 日期:2019-01-17 

分享到:

LLC串联谐振

MOSFET电容

电容(Capacitance)亦称作“电容量”,是指在给定电位差下的电荷储藏量,记为C,国际单位是法拉(F)。一般来说,电荷在电场中会受力而移动,当导体之间有了介质,则阻碍了电荷移动而使得电荷累积在导体上,造成电荷的累积储存,储存的电荷量则称为电容。


电容是指容纳电场的能力。任何静电场都是由许多个电容组成,有静电场就有电容,电容是用静电场描述的。一般认为:孤立导体与无穷远处构成电容,导体接地等效于接到无穷远处,并与大地连接成整体。


电容(或称电容量)是表现电容器容纳电荷本领的物理量。电容从物理学上讲,它是一种静态电荷存储介质,可能电荷会永久存在,这是它的特征,它的用途较广,它是电子、电力领域中不可缺少的电子元件。主要用于电源滤波、信号滤波、信号耦合、谐振、滤波、补偿、充放电、储能、隔直流等电路中。


LLC谐振半桥工作原理

LLC串联谐振


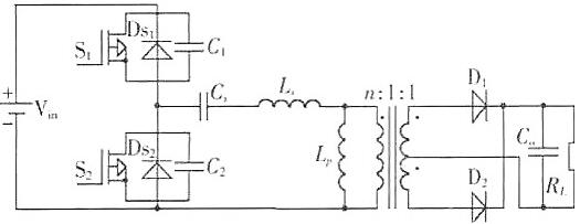
上图分别给出了 LLC 谐振变换器的电路图和工作波形。图1中包括两个功率 MOSFET(S1 和S2),其占空比都为0.5;谐振电容 Cs,副边匝数相等的中心抽头变压器 Tr,Tr 的漏感Ls,激磁电感 Lm,Lm 在某个时间段也是一个谐振电感,因此,在 LLC谐振变换器中的谐振元件主要由以上3个谐振元件构成,即谐振电容 Cs,电感 Ls 和激磁电感 Lm;半桥全波整流二极管 D1 和 D2,输出电容 Cf。LLC 变换器的稳态工作原理如下:


(1)(t1,t2)当t=t1 时,S2 关断,谐振电流给S1的寄生电容放电,一直到S1上的电压为零,然后S1 的体内二级管导通。此阶段D1导通,Lm上的电压被输出电压钳位,因此,只有Ls和Cs参与谐振。

LLC串联谐振


(2)(t2,t3)当t=t2 时,S1在零电压的条件下导通,变压器原边承受正向电压;D1继续导通,S2及D2 截止。此时 Cs和Ls参与谐振,而Lm不参与谐振。


(3)(t3,t4)当t=t3 时,S1仍然导通,而 D1与D2 处于关断状态,Tr 副边与电路脱开,此时Lm,Ls和 Cs 一起参与谐振。实际电路中 Lm>>Ls,因此,在这个阶段可以认为激磁电流和谐振电流都保持不变。


(4)(t4,t5)当t=t4 时,S1关断,谐振电流给S2的寄生电容放电,一直到S2上的电压为零,然后S2 的体内二级管导通。此阶段 D2 导通,Lm 上的电压被输出电压钳位,因此,只有 Ls 和Cs 参与谐振。


(5)(t5,t6)当t=t5 时,S2 在零电压的条件下导通,Tr 原边承受反向电压;D2继续导通,而S1和D1 截止。此时仅 Cs和Ls 参与谐振,Lm上的电压被输出电压箝位,而不参与谐振。


(6)(t6,t7)当 t=t6 时,S2仍然导通,而D1和D2处于关断状态,Tr 副边与电路脱开,此时 Lm,Ls和Cs 一起参与谐振。实际电路中Lm>>Ls,因此,在这个阶段可以认为激磁电流和谐振电流都保持不变。


LLC串联谐振电路

LLC串联谐振电路,根据电路原理,电感电容串联或并联可以构成谐振电路,使得在电源为直流电源时,电路中得电流按照正弦规律变化。由于电流或电压按正弦规律变化,存在过零点,如果此时开关器件开通或关断,产生的损耗就为零。下边就分析目前所使用的LLC谐振半桥电路。基本电路如下图所示:

LLC串联谐振


其中Cr,Lr,Lm构成谐振腔(Resonant?tank),即所谓的LLC,Cr起隔直电容的作用,同时平衡变压器磁通,防止饱和。


MOSFET电容对LLC串联谐振电路的作用

LLC的优势之一就是能够在比较宽的负载范围内实现原边MOSFET的零电压开通(ZVS),MOSFET的开通损耗理论上就降为零了。要保证LLC原边MOSFET的ZVS,需要满足以下三个基本条件:


1)上下开关管50%占空比,1800对称的驱动电压波形;


2)感性谐振腔并有足够的感性电流;


3)要有足够的死区时间维持ZVS。


图a)是典型的LLC串联谐振电路。图b)是感性负载下MOSFET的工作波形。由于感性负载下,电流相位上会超前电压,因此保证了MOSFET运行的ZVS。要保证MOSFET运行在感性区,谐振电感上的谐振电流必须足够大,以确保MOSFET源漏间等效的寄生电容上存储的电荷可以在死区时间内被完全释放干净。

LLC串联谐振


当原边的MOSFET都处于关断状态时,串联谐振电路中的谐振电流会对开关管MOSFET的等效输出电容进行充放电。MOSFET都关断时的等效电路如下图所示:

LLC串联谐振


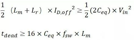
通过对上图的分析,可以得出需要满足ZVS的两个必要条件,如下:

LLC串联谐振


公式看上去虽然简单,然而一个关于MOSFET等效输出电容Ceq的实际情况,就是MOSFET的等效寄生电容是源漏极电压Vds的函数,之前的文章对于MOSFET的等效寄生电容进行过详细的理论和实际介绍。,也就是说,等效电容值的大小会随着Vds的变化而变化。如下图所示,以Infineon的IPP60R190P6为例:

LLC串联谐振


LLC串联谐振电路MOSFET的Vds放电过程分为四个阶段,如下图所示, (I) 380V-300V; (II) 300V-200V; (III) 200V-100V; (IV)100V-0V。

LLC串联谐振


从图中可以看出,(I)和(IV)两部分占据了Vds放电时间的将近2/3,此时谐振腔的电感电流基本不变。这两部分之所以占据了Vds放电的大部分时间,主要原因在于当Vds下降到接近于0的时候,MOFET源漏间的寄生电容Coss会指数的增加。因此要完全释放掉这一部分的电荷,需要更长的LLC谐振周期和释放时间。


因此选择合适的MOSFET(足够小的等效寄生电容),对于ZVS的实现至关重要,尤其是当Vds接近于0的时候,等效输出电容要足够小,这样还可以进一步降低死区时间并提高LLC的工作效率。

下图进一步说明如何选择合适的ZVS方案。

LLC串联谐振


图(a):理想的ZVS波形;


图(b):Vds还没下降到0,Vgs已经出现。此种情况下,LLC串联谐振就会发生硬开关。应对之策需要减少变压器的励磁电流,或者适当增加死区时间(如果IC选定,死区时间一般就固定了);


图(c):实现了ZVS,但是谐振腔的电流不足以维持MOSFET体内二极管的持续导通。


图(d)死区时间过于长了,会降低整个LLC的工作效率。


总之,MOSFET的等效输出电容对于LLC原边MOSFET ZVS的实现是至关重要的。如果MOSFET已经选定,谐振腔需要仔细计算、调试和设定,并选取合适的死区时间,来覆盖所有负载的应用范围。实际应用中对于稳态运行的硬开关都可以通过设计进行修正从而达到稳定运行的设计目的。然而开机过程中的硬开关(软启高频到低频过程中),尤其是开机过程中的头几个开关周期,对于有些设计和方案,硬开关是避免不了的。


LLC串联谐振电路特征

(1)变频控制


(2)固定占空比50%


(3)在开关管轮替导通之间存在死区时间(Dead?Time),因此Mosfet可以零电压开通(ZVS),二次侧Diode可以零点流关断,因此二极管恢复损耗很小


(4)高效率,可以达到92%+


(5)较小的输出涟波,较好的EMI

联系方式:邹先生

联系电话:0755-83888366-8022

手机:18123972950

QQ:2880195519

联系地址:深圳市福田区车公庙天安数码城天吉大厦CD座5C1


请搜微信公众号:“KIA半导体”或扫一扫下图“关注”官方微信公众号

请“关注”官方微信公众号:提供 MOS管 技术帮助







3000万彩票-追求健康,你我一起成长 乐发IV - welcome u284彩票- 欢迎您 实亿国际(中国区)官方网站 永兴集团yx06 5630彩票(中国区)官方网站 佰利乐·(中国区)有限公司官网 金彩汇 - welcome首页