实亿国际

实亿国际

国家高新企业

cn

新闻中心

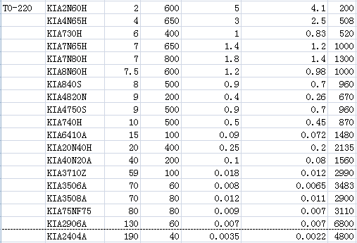
常用n型mos管型号大全 型号参数等

信息来源:本站 日期:2017-10-11 

分享到:

常用n沟道mos管型:

实亿国际 mos管采用绝缘栅结构的晶体三极管,输入阻抗高,输出呈电阻态。现在用途广泛,包括电视机高频头(高频,小电流)到开关电源(高压大电流),现在把MOS和双极型(普通三极管)复合在一起(IGBT,绝缘栅双极型晶体管),广泛应用于大功率领域。


相关搜索:

n沟道mos管型号     n沟道mos管       n沟道mos管开关电路     n沟道增强型mos管    n沟道耗尽型mos管
n沟道耗尽型mos管型号     n沟道增强型mos管型号    n沟增强型mos管     n沟道mos管导通条件



联系方式:邹先生

实亿国际 联系电话:0755-83888366-8022

实亿国际 手机:18123972950

实亿国际 QQ:2880195519

联系地址:深圳市福田区车公庙天安数码城天吉大厦CD座5C1


关注KIA半导体工程专辑请搜微信号:“KIA半导体”或点击本文下方图片扫一扫进入官方微信“关注”

长按二维码识别关注


3000万彩票-追求健康,你我一起成长 乐发IV - welcome u284彩票- 欢迎您 实亿国际(中国区)官方网站 永兴集团yx06 5630彩票(中国区)官方网站 佰利乐·(中国区)有限公司官网 金彩汇 - welcome首页