实亿国际【集成电路设计】MOS管的fT频率分析-KIA MOS管
信息来源:本站 日期:2022-06-08
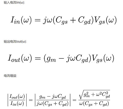
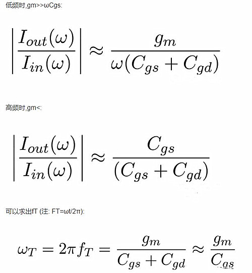
MOSFET的电流增益特征频率fT,用于表征MOSFET的电流放大的最高工作频率。
在MOS源极和漏极接交流地时,器件的小信号电流增益降至1的频率称为:“transit frequency”(fT)
MOS的小信号模型如下:



影响因素:
1) 增大Vgs可以增大FT
2) 减小沟道L会增大FT,所以使用工艺尺寸更小的MOS管,可以获得更高的工作频率。
3) 增大偏置电流可以增大FT(FT:∝电流的平方根)
4) FT随着过驱动电压而增加,但随着垂直电场增强到一定程度,会导致迁移率明显逐渐减小,而使FT-Vod曲线变平,不再是线性直线。
联系方式:邹先生
联系电话:0755-83888366-8022
手机:18123972950
QQ:2880195519
联系地址:深圳市福田区车公庙天安数码城天吉大厦CD座5C1
请搜微信公众号:“KIA半导体”或扫一扫下图“关注”官方微信公众号
请“关注”官方微信公众号:提供 MOS管 技术帮助
免责声明:本网站部分文章或图片来源其它出处,如有侵权,请联系删除。
