【图文分享】MOS管参数μCox计算方法-KIA MOS管
信息来源:本站 日期:2022-06-08
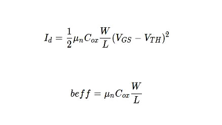
MOS管沟道饱和区电流ID(不考虑非理想效应)
首先在原理图中放上器件,以NMOS为例子,同时分别设置好NMOS沟道长度和宽度,还有将对应器件电压也设置成变量,设成变量方面后面仿真条件下修改参数。


需要关注的参数是beff和betaeff,其中beff就是平方率关系对应的理想参数(完全不考虑沟道调制效应等,是可以计算过后发现,用得到的阈值电压还有Id算出来完全符合平方率关系对应的理想值),betaeff是修正的跨导模型参数,毕竟现在模型不是以前的那种简单模型了。
MOS管沟道饱和区电流ID
联系方式:邹先生
联系电话:0755-83888366-8022
手机:18123972950
QQ:2880195519
联系地址:深圳市福田区车公庙天安数码城天吉大厦CD座5C1
请搜微信公众号:“KIA半导体”或扫一扫下图“关注”官方微信公众号
请“关注”官方微信公众号:提供 MOS管 技术帮助
免责声明:本网站部分文章或图片来源其它出处,如有侵权,请联系删除。
