实亿国际集成电路知识|MOS管二级效应及其小信号等效-KIA MOS管
实亿国际信息来源:本站 日期:2020-11-26
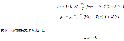
二级效应
体效应
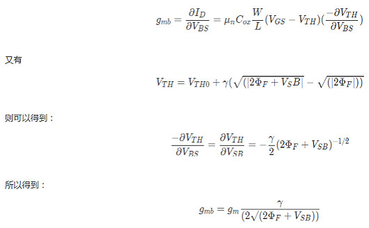
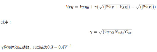
由于源极和衬底之间存在电压差,是的器件的电流方程偏离上述公式。主要是由于当源极与衬底存在压差时,阈值电压会发生变化,具体可参考刘恩科等著《半导体物理》第七版第八章MOS结构的介绍。考虑体效应后阈值电压变化为:
沟道长度调制
沟道长度调制与前述的Leff和LDrawn的差异不同,前者是由于电流达到饱和后,在Leff中的导电粒子实际占据的沟道长度,当VGS增大,Leff会进一步减小,后者是由于工艺的设计以及电子的热运动特性所引起的理想与实际的长度差异,器件一旦生产就已经固定。
考虑沟道长度调制效应后的饱和电流方程为:
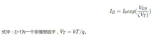
亚阈值导电
前面讨论的电流方程都是在VGS-VTH > 0的情况下,实际上当VGS ≈ VTH时一个弱的反型层仍然存在,甚至VGS < VTH时ID也不是无限小,而是与VGS呈现指数关系,该效应就称之为亚阈值导电,且有:
亚阈值导电由于其指数级的增长方式,会使得器件会有较大的增益,然而由于其电流较小,使得电路的速度时极其有限的。
MOS管的小信号等效:
前述我们介绍了电路的大信号模型即直流信号模型,但是实际的应用中信号往往表现出交流小信号的特性,其幅值远小于直流信号,在电路中我们通常会考虑电路的交流放大情况,这使得需要在前述大信号的基础上对交流小信号进行分析。
所谓小信号模型,是指电路中各个管子都正常工作在指定的区域(通常为饱和区)的情况下,施加一个低频的小信号增量考虑管子漏源之间的电流变化情况。由于漏电流是栅源之间的电压的函数,可以通过一个压控电流源来进行小信号等效。
1.不考虑二级效应时,等效模型如下,gm是栅源电压转换为电流的能力,也就是我们前面提到的跨导。
2.考虑沟长调制效应时,漏电流随漏源电压变化而变化,因此,将其等效为一个由$V_{DS}$控制的压控电流源,如下图(a)同时可以观察到$V_{DS}$施加在电流源的两端,且其电流大小随$V_{DS}$线性增加,实际上满足线性电阻的性质,故也可将其等效为一个线性电阻$r_o$,如图(b)
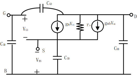
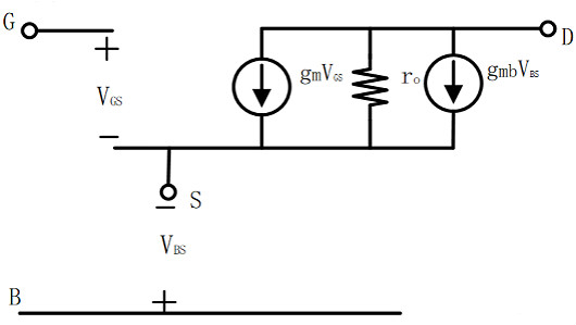
3. 考虑衬底偏置效应(体效应) 前面我们提到,MOSFET是一个四端器件,通常将衬底和源极相连作为三端器件使用,但是考虑体效应时,$V_{BS}$会对漏电流产生影响,广义上来看,衬底起到了MOSFET另一个栅的作用,类似的用一个压控电流源对其产生的影响进行模拟,其等效模型如下图:
通过类比跨导的定义,可以得到:
应当注意到的是,前述模型均考虑的是低频小信号模型,在高频信号下,还应当考虑MOS管的寄生电容,但是在一般的如放大器的设计中,上述模型已经足够,考虑电容后完整的小信号模型为:
联系方式:邹先生
联系电话:0755-83888366-8022
手机:18123972950
QQ:2880195519
联系地址:深圳市福田区车公庙天安数码城天吉大厦CD座5C1
请搜微信公众号:“KIA半导体”或扫一扫下图“关注”官方微信公众号
请“关注”官方微信公众号:提供 MOS管 技术帮助

