实亿国际

实亿国际

国家高新企业

cn

新闻中心

电阻-电阻的作用和工作原理等介绍-KIA MOS管

实亿国际信息来源:本站 日期:2018-07-14 

分享到:

电阻

电阻是描述导体导电性能的物理量,用R表示。电阻由导体两端的电压U与通过导体的电流I的比值来定义,即R=U/I。所以,当导体两端的电压一定时,电阻愈大,通过的电流就愈小; 反之,电阻愈小,通过的电流就愈大。因此,电阻的大小可以用来衡量导体对电流阻碍作用的强弱,即导电性能的好坏。电阻的量值与导体的材料、形状、体积以及周围环境等因素有关。

电阻的作用和工作原理

不同导体的电阻按其性质的不同还可分为两种类型。一类称为线性电阻或欧姆电阻,满足欧姆定律; 另一类称为非线性电阻,不满足欧姆定律。电阻的倒数1/R称为电导,也是描述导体导电性能的物理量,用G表示。电阻的单位在国际单位制中是欧姆(Ω),简称欧。而电导的国际单位制(SI)单位是西门子(S),简称西。电阻还常用kΩ和MΩ作单位,它们之间的关系是:1MΩ=1000kΩ=1000000Ω

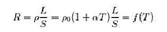
电阻率描述导体导电性能的参数。对于由某种材料制成的柱形均匀导体,其电阻R与长度L成正比,与横截面积S成反比,即: 式中ρ为比例系数,由导体的材料和周围温度所决定,称为电阻率。它的国际单位制(SI)是欧姆·米 (Ω·m)。常温下一般金属的电阻率与温度的关系为:ρ=ρ0(1+αt)式中ρ0为0℃时的电阻率; α为电阻的温度系数; 温度t的单位为摄氏温度。半导体和绝缘体的电阻率与金属不同,它们与温度之间不是按线性规律变化的。当温度升高时,它们的电阻率会急剧地减小。呈现出非线性变化的性质。电阻率的倒数1/ρ称为电导率,用σ表示。它也是描述导体导电性能的参数 ,其国际单位制(SI)是西门子/米 (S/m)。


电阻的工作原理

电阻的工作原理在物理学中,用电阻来表示导体对电流阻碍作用的大小。导体的电阻越大,表示导体对电流的阻碍作用越大。不同的导体,电阻一般不同,电阻是导体本身的一种特性。电阻元件是对电流呈现阻碍作用的耗能元件。因为物质对电流产生的阻碍作用,所以称其该作用下的电阻物质。电阻将会导致电子流通量的变化,电阻越小,电子流通量越大,反之亦然。电阻元件的电阻值大小一般与温度,材料,长度,还有横截面积有关,衡量电阻受温度影响大小的物理量是温度系数,其定义为温度每升高1℃时电阻值发生变化的百分数。电阻的主要物理特征是变电能为热能,也可说它是一个耗能元件,电流经过它就产生内能。电阻在电路中通常起分压、分流的作用。对信号来说,交流与直流信号都可以通过电阻。

热敏电阻:是一种对温度极为敏感的电阻器。

光敏电阻:分为正温度系数和负温度系数电阻器。选用时不仅要注意其额定功率、最大工作电压、标称阻值,更要注意最高工作温度和电阻温度系数等参数,并注意阻值变化方向。硫化镉等材质,阻值随着光线的强弱而发生变化的电阻器。分为可见光光敏电阻、红外光光敏电阻、紫外光光敏电阻。选用时先确定电路的光谱特性。

电阻的作用和工作原理


电阻的作用
电阻耦合作用

在低频信号的传递与放大过程中,为防止前后两级电路的静态工作点相互影响,常采用电容藕合.为了防止信号中韵低频分量损失过大,一般总采用容量较大的电解电容。

电感

电感是衡量线圈产生电磁感应能力的物理量。给一个线圈通入电流,线圈周围就会产生磁场,线圈就有磁通量通过。通入线圈的电源越大,磁场就越强,通过线圈的磁通量就越大。实验证明,通过线圈的磁通量和通入的电流是成正比的,它们的比值叫做自感系数,也叫做电感。 电感的特性与电容的特性正好相反,它具有阻止交流电通过而让直流电顺利通过的特性。电感的特性是通直流、阻交流,频率越高,线圈阻抗越大。电感器在电路中经常和电容一起工作,构成LC滤波器、LC振荡器等。另外,人们还利用电感的特性,制造了阻流圈、变压器、继电器等。

采集非电量参量

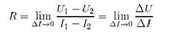
我们知道,电阻值与温度之间存在一定的关系。看下式:

电阻的作用和工作原理

在这里,电阻值R与温度T之间存在函数关系。于是,我们就可以用电阻来采集温度。采集温度的电阻有两种,一种叫做正温度系数的热敏电阻,另一种叫做负温度系数的热敏电阻。这两种热敏电阻的用途都很广泛。电阻还可以用来采集其它物理量,例如压敏电阻和光敏电阻等等。


可作为元件的身份证

电阻的作用和工作原理

此图的纵坐标是电流I,横坐标是电压U。此图又叫做电流-电压特性曲线图,更多的时候简称为伏安特性曲线。根据欧姆定律,我们有:

电阻的作用和工作原理

这里的R称为动态电阻,它其实就是曲线斜率的倒数。当R大于零时,被称为正阻特性,反之,当动态电阻R小于零时,被称为负阻特性。???对于蓝色的曲线,我们看出它是一条经过原点的直线,它的动态电阻阻值不随着电压和电流的变化而变化,满足这种伏安特性曲线的元件被称为线性元件;反之,对于红色的曲线,我们看出它是一条曲线,它的动态电阻阻值随着电压和电流的变化而变化。满足这种伏安特性曲线的元件被称为非线性元件。

电阻单位表示及计算公式

导体的电阻通常用字母R表示,电阻的单位是欧姆(ohm),简称欧,符号是Ω(希腊字母,读作Omega),1Ω=1V/A。比较大的单位有千欧(kΩ)、兆欧(MΩ)(兆=百万,即100万)。KΩ(千欧), MΩ(兆欧),他们的换算关系是:两个电阻并联式也可表示为:1TΩ=1000GΩ;1GΩ=1000MΩ;1MΩ=1000KΩ;1KΩ=1000Ω(也就是一千进率)。

计算公式为:

电阻的作用和工作原理



联系方式:邹先生

联系电话:0755-83888366-8022

手机:18123972950

QQ:2880195519

联系地址:深圳市福田区车公庙天安数码城天吉大厦CD座5C1


请搜微信公众号:“KIA半导体”或扫一扫下图“关注”官方微信公众号

请“关注”官方微信公众号:提供  MOS管  技术帮助