实亿国际金卤灯镇流器原理图设计方案及其工作原理和技术方案等-KIA MOS管
信息来源:本站 日期:2018-06-01
金卤灯是工业照明灯具光源的一种,金卤灯属于第三代光源,金卤灯具有良好的节能、环保、高效的优点。
金卤灯是由金卤灯外壳、金卤灯光源、镇流器、触发器、电容、散热器等部分组成的。
金卤灯是交流电源工作的,在汞和稀有金属的卤化物混合蒸气中产生电弧放电发光的放电灯,金属卤化物灯是在高压汞灯基础上添加各种金属卤化物制成的第三代光源。
金卤灯分为是石英金卤灯,其电弧管泡壳是用石英做的,另一种是陶瓷金卤灯,其电弧管泡壳是用半透明氧化铝陶瓷做的,两种的光效和价格都有很大的差别,目前石英金卤灯的使用非常普遍,而陶瓷金卤灯使用较少。
广泛适用于制造业工厂、电力、铁路、冶金、石化、厂矿、车间、物流仓库、文体场馆等高大场所。还可以作为防爆灯具的光源,用于电力、石油开采、冶炼、化工、军工储备等企业的危险环境及海洋石油平台、油轮等场所。
金卤灯最大优点是发光效率特别高,光效高达80~90Lm/W,正常发光时发热少,因此是一种冷光源。金卤灯具有有发光效率高、显色性能好、寿命长等特点,是一种接近日光色的节能新光源。
为了确保金卤灯不出现声谐振,电子镇流器一般工作于低频方波状态。传统的低频方波电子镇流器包括3级结构:功率因数校正电路、降压电路和全桥逆变电路。这种结构非常复杂而且造成了镇流器的成本昂贵。简化电路、降低成本已经成为如今研究的重点。一种方法就是把前两级功率因数校正和降压电路组成一级。这种方法可以减小镇流器的体积,但是可能伴随带来的问题就是降低了功率因数校正电路的表现,增加了开关器件的应力等不利因素。另一种方法就是把降压电路和逆变电路组合在一起。这种方法可以降低镇流器的体积和成本,但是控制方法可能相对复杂。
组合降压电路和半桥逆变电路在一起的方案是现在比较流行而且可行的方法。因为这种方式的电路相对最为简单,成本最低。为了促进这种方案的广泛应用,简化它的控制方法,克服这种电路的缺点,提高它的可靠性就成为研究的重点。
本文对此种电路提出了一种新型控制方法,并且提出一种简单有效的方法克服此电路在输出电流换向时发生的电流过冲问题,降低了波峰系数。
1 电路描述
电路的结构框图如图1所示。
电路结构框图
1.电路工作模态的分析
S1、S2的门极信号如图2所示。当S1工作于高频状态时,S2被断开。此时,电路等效于一个Buck电路,S1相当于主功率开关,而S2的体二极管相当于Buck的二极管。两个开关管的工作状态会以400Hz的一个频率交替变化。这样,就可以得到一个低频的方波电流输出供给灯。
金卤灯电子镇流器电路图
二极管关断时存在一个反向恢复问题,这会大大增加器件的开关损耗。为了避免这种情况的发生,我们让电路工作在电流断续状态下。图3是逆变级Buck电感电流的状态示意图。
电感电流断续的情况
当S1工作于高频状态而S2断开时,电路工作于3种工作模式。
1.模式1
S1开通,电流流过C1、S1、Rs、灯、点火电感和Lc图4是这种模式的等效电路图。其中点火电感的电感量远远小于电感L的电感量,假设电容C上的电压在每个开关周期中保持不变,电感L上的电压VL为
S1断开,由于电感电流不能突变,电流流过Rs、灯、点火电感、L、C2和D2o。图5是此种模式的等效电路图。电感L的电压为
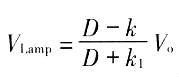
S1仍然处于断开状态。但是电感£的电流降为零。此时,电容C给灯提供能量,电流流过C、Rs、灯和点火电感。图6是此种工作模式的等效电路图。假设电容足够大,电容上的电压保持不变,我们能够从式(1)、式(2)中得到输出的灯电压为
式中:系数k1与电感电流下降时间有关,在图3中有着明确的表示。
当S1断开,S2工作于高频开关状态时,电路的工作过程基本上和上面的分析一致。
根据上面的分析,在每半个低频周期内半桥逆变电路可以等效为一个Buck降压电路。从而一个半桥逆变电路既可以提供给灯一个合适的T作电压又能使灯工作于低频方波状态。
1.2 闭环控制
因为金卤灯的负阻特性,为此我们控制镇流器的输出呈现为电流源的特性,以保证灯的稳定工作。图7是半桥电路的控制方法框图。通过Rs采样灯电流。采样电阻Rs上的电压是一个低频的方波信号。首先通过运放l把这个信号放大,然后经过一个整流电路把这个交流的方波信号整流成直流,再经过RC滤波后进行PI调节,调节输出为一个恒流源。可见这种控制方法等效于DC/DC的控制方法,简单且有效。
1.3 电流过冲
但是,这个电路存在一个严重问题就是在每个输出电流换向的瞬间会有很大的电流过冲。这样的尖峰电流会大大降低灯的使用寿命。本文提出了一种简单有效的方法克服这个问题。
图8是半桥驱动门极信号的产生电路,其中的D触发器、两个与门和两个或非门组合在一起用来减小驱动信号的占空比。而这个功能由控制脚(CP)来控制,当CP为高时,驱动的占空比就可以减小为大约原来的一半。这样我们就可以在每个输出电流换向的瞬间给CP一个高电平,减小驱动的占空比,以大大减小甚至消除过冲电流。图9为一个简单CP控制信号的产牛电路。图10为脚CP信号与低频逆变信号的时序图。

2 实验结果
采用上述控制方法的一个70W金卤灯电子镇流器样机已经完成。电路主要参数如下。
L="380" μH;
C=1μF;
Vo="200V";
fh="100" kHz;
f1=400Hz。
其中:fh为半桥电路驱动的高频和低频频率;
f1为半桥电路驱动的低频频率。
图11显示了输出电流换向时驱动信号的变化。图12为输出电流换向时电感电流的变化,可以看到电流的过冲相当小。图13为点火脉冲,由于点火是在低频情况下进行,所以点火成功率很高。图14为灯正常工作时的电流和电压波形,可以看出灯电流基本没有电流过冲的情况发生。整机效率约为90%,波峰系数为1.1。


结语:本文提出了一种用于两级低频方波金卤灯电子镇流器的新型控制方法。它调节输出为恒流源,保证了灯的稳定运行。同时克服了电路存在的电流过冲问题。相比与传统的3级低频方波电子镇流器,这种电路和控制方法简单而有效,所谓价廉物美啊。
联系方式:邹先生
联系电话:0755-83888366-8022
手机:18123972950
QQ:2880195519
联系地址:深圳市福田区车公庙天安数码城天吉大厦CD座5C1
请搜微信公众号:“KIA半导体”或扫一扫下图“关注”官方微信公众号
请“关注”官方微信公众号:提供 MOS管 技术帮助