RC正弦波振荡器的组成,工作原理详解-KIA MOS管
信息来源:本站 日期:2025-05-15
RC振荡器利用电阻和电容元件的相移特性来产生振荡。当信号通过RC网络时,电容器的电流超前电压90°,而电阻的电压和电流是同相位的。通过串联多个RC级,可以在输出和输入之间产生180°的相位差,从而形成正反馈,驱动振荡。
RC正弦波振荡器的组成部分
1.放大器:RC正弦波振荡器需要一个放大器来放大信号。通常使用运算放大器,如LM124或LM324等。
2.反馈网络:反馈网络是RC振荡器的核心部分,通常由多个RC级组成。每个RC级提供一个相位偏移,多个RC级串联在一起可以产生所需的180°相移,从而实现振荡。
3.选频网络:选频网络用于选择振荡器的频率。在RC振荡器中,选频网络通常由电阻和电容组成,它们决定了振荡器的频率特性。
4.稳幅环节:为了保持振荡的稳定,RC振荡器还需要一个稳幅环节,以防止振幅过大或过小,从而确保振荡的持续和稳定。
RC 振荡器的工作原理是利用 RC 网络(如下图所示)提供响应信号所需的相移的电路。
RC 振荡器具有出色的频率稳定性,可以为各种负载产生纯正弦波。
下图左边的电路显示了单个电阻电容网络,其输出电压“超前”输入电压某个角度小于 90°。
在纯或理想的单极 RC 网络中,它将产生恰好为 90 °的最大相移,但由于振荡需要 180 °的相移,因此在RC 振荡器设计中必须使用至少两个单极网络。
然而,实际上每个 RC 级很难获得准确的 90 °相移,因此我们必须使用更多级联的 RC 级来获得振荡频率所需的值。
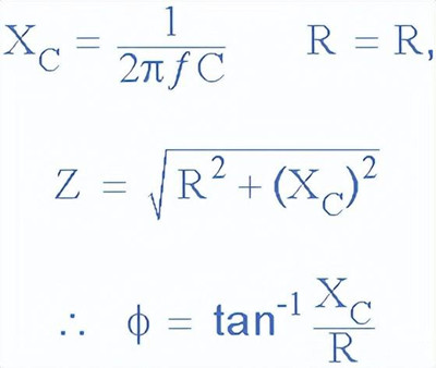
电路中的实际相移量取决于电阻 (R) 和电容 (C) 的值,在选定的振荡频率下,相位角 ( φ ) 如下公式所示。
2、RC 相位角
其中: X C是电容的容抗,R 是电阻的阻值,而?是频率。
在上面的简单示例中,已选择R和C的值,以便在所需频率下,输出电压领先输入电压约 60 °的角度,然后每个连续 RC 部分之间的相位角再增加 60 °,从而在输入和输出之间产生 180 ° (3 x 60 ° )的相位差,如下面的矢量图所示。
3、矢量图
通过将三个这样的 RC 网络(如上图右侧)串联在一起,我们可以在所选频率下在电路中产生 180 °的总相移,这形成了“RC 振荡器”的基础,也称为相移振荡器,因为相角在通过电路的每个阶段都移动了一定量。
相移发生在各个 RC 级之间的相位差中。运算放大器电路采用四路 IC 封装,例如,LM124 或 LM324 等,因此四个 RC 级 也可用于在所需的振荡频率下产生所需的 180 °相移。
在使用双极晶体管或反相运算放大器配置的放大器电路中,它会在其输入和输出之间产生 180 °的相移。
如果三级 RC 相移网络作为反馈网络连接在放大器电路的输出和输入之间,则产生所需再生反馈的总相移为:3 x 60 °+ 180 °= 360 ° = 0 °。如下图所示。
三个 RC 级级联在一起以获得稳定振荡频率所需的斜率。当每级相移为-60°时,反馈回路相移为-180 °。这发生在jω = 2pi? = 1/1.732RC为 ( tan 60 °= 1.732 ) 时。
然后,要在 RC 振荡器电路中实现所需的相移,就要使用多个 RC 相移网络。
联系方式:邹先生
座机:0755-83888366-8022
手机:18123972950(微信同号)
QQ:2880195519
联系地址:深圳市龙华区英泰科汇广场2栋1902
搜索微信公众号:“KIA半导体”或扫码关注官方微信公众号
关注官方微信公众号:提供 MOS管 技术支持
免责声明:网站部分图文来源其它出处,如有侵权请联系删除。
