实亿国际h桥电路工作原理,h桥电路图详解-KIA MOS管
信息来源:本站 日期:2025-04-09
H桥电路通过控制四个开关器件的导通组合,实现对负载(如电机)电流方向的切换,从而改变其运动方向或输出交流波形。
H桥电路由四个开关器件(如MOSFET、IGBT等)组成,排列成“H”形结构,负载(如电机)位于中间横杠位置。四个开关分为两组对角对(Q1/Q4和Q2/Q3),通过控制它们的通断组合实现电流方向切换。
关键元件:开关器件(如功率MOSFETQ、IGBTQ)、续流二极管(防止反向电压损坏电路)。
电源连接:上端接电源正极,下端接地,负载两端分别连接左右开关节点。
工作原理
1.正转模式导通Q1和Q4时,电流路径为:电源正极→Q1→负载→Q4→电源负极,驱动负载(如电机)正向运转。
2.反转模式导通Q2和Q3时,电流反向流动:电源正极→Q2→负载→Q3→电源负极,使负载反向运动。
3.逆变功能交替切换正反转模式(如方波调制),可将直流电转换为交流电,配合滤波器可输出正弦波。
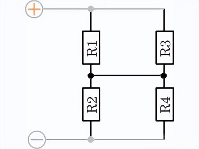
如下所示,图中间的导电路径,R2 两端的电压等于 R4 两端的电压,R1 两端的电压等于 R3 处的电压,与四个电阻的电阻值无关。
如果两个分支之间没有电桥,中点的电位取决于电阻值的比率。如果 R1 :R2 等于 R3 : R4 ,即使没有电桥,电势差也为零。

上臂PMOS与下臂NMOS
该桥电路由两个P型场效应管Q2和两个N型场效应管Q4组成,因此被称为P-NMOS管H桥。这些场效应管在桥臂上充当开关的角色,其中P型管在栅极电压为低时导通,高时关闭;而N型管则在栅极电压为高时导通,低时关闭。值得注意的是,场效应管是一种电压控制元件,其栅极电流几乎为零。
当按照特定方式连接电路并控制臂1置高电平(U=VCC)、控制臂2置低电平(U=0)时,Q1和Q4将关闭,而Q2和Q3则会导通。这将导致电机左端呈现低电平,右端则为高电平,从而使得电流沿箭头方向流动,实现电机的正转。
当控制臂1置为低电平(U=0),而控制臂2置为高电平(U=VCC)时,Q2和Q3将关闭,而Q1和Q4则会导通。这一操作将导致电机左端呈现高电平,右端则为低电平,进而使电流反向流动,即实现电机的反转。
当控制臂1和控制臂2都处于低电平状态时,Q1和Q2将导通,而Q3和Q4将关闭。这将导致电机两端都呈现高电平,从而阻止电流流动,电机因此不会转动。相反,当控制臂1和控制臂2都处于高电平状态时,Q1和Q2将关闭,而Q3和Q4将导通。这同样会使电机两端都呈现低电平,电机同样不会转动。这种设计确保了无论控制臂的状态如何(必须避免悬空状态),H桥都不会出现“共态导通”的情况,从而避免了短路的可能性。
联系方式:邹先生
座机:0755-83888366-8022
手机:18123972950(微信同号)
QQ:2880195519
联系地址:深圳市龙华区英泰科汇广场2栋1902
搜索微信公众号:“KIA半导体”或扫码关注官方微信公众号
关注官方微信公众号:提供 MOS管 技术支持
免责声明:网站部分图文来源其它出处,如有侵权请联系删除。
