实亿国际折叠式共源共栅结构/折叠式共源共栅放大器-KIA MOS管
实亿国际信息来源:本站 日期:2022-07-27
共源共栅级由共源级实现电压到电流的转换,然后电流信号加到共栅级的源端。因此,构成共源共栅级时共源管和共栅管类型可以不同。
如图3.0.2.1,M1是输入器件:PMOS;M2是共源共栅器件:NMOS;I1为直流偏置电流源。
折叠式共源共栅结构具有输出阻抗高、增益高等优点,但同时折叠式共源共栅级直流功耗大。
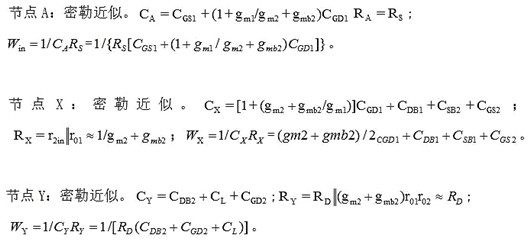
节点近似法分析三个节点:A、X、Y,如图3.1.1.1所示。
在这三个极点中,其中Win一般不考虑,在设计电路时,Wx选择在高频处。因此:Wy是主极点,传输函数是单极点函数。
目前共源共栅放大器已经逐渐取代了传统的套筒式运放,因为共源共栅放大器的输出摆幅明显比它更大,而且易于对输入与输出进行操作如图3.1.2.4所示,为一个PMOS的共源共栅放大器。
联系方式:邹先生
联系电话:0755-83888366-8022
手机:18123972950
QQ:2880195519
联系地址:深圳市福田区车公庙天安数码城天吉大厦CD座5C1
请搜微信公众号:“KIA半导体”或扫一扫下图“关注”官方微信公众号
请“关注”官方微信公众号:提供 MOS管 技术帮助
免责声明:本网站部分文章或图片来源其它出处,如有侵权,请联系删除。
