【集成电路】Vdsat、Vov、Vds的关系-KIA MOS管
实亿国际信息来源:本站 日期:2022-07-05
Vov:过驱动电压overdrive voltage,Vov=Vgs-Vth,过驱动电压也用Vod表示
Vdsat:饱和漏源电压或夹断时漏源电压(刚出现夹断)saturation drain voltage
在长沟道下,vdsat=vgs-vth=vov,在短沟道下,由于二阶效应,vdsat小于vgs-vth,但这个值,spice也好,spectre也好,都是用来判断管子工作区间的。
vds>vdsat管子工作在饱和区
vds<vdsat管子工作在线性区
Vov=Vgs-Vth,用MOS的Level 1 Model时,不考虑短沟道效用,Vdsat=Vov=Vgs-Vth,当Vds>Vdsat时,MOS的沟道就出现Pich-off现象,这时候电流开始饱和。(长沟道器件)
但是考虑到短沟道效应的模型里,沟道里的多子因为速度饱和效应(Velocity saturation),Vds不需要到达Vov,只要到达Vdsat,Ids就会饱和,不会再上升。
但是此时在物理上,沟道并未达到Pinch- off,直到Vds=Vov,沟道的Pinch-off现象才会出现。也就是说在短沟道模型中,器件在沟道Pinch-off之前就会达到速度饱和,电流 不会再增加(短沟道器件)
小结: Vds-Vdsat要留一定余量,一般200mv,差分输入对一般为100多mv,一般来说vdsat<50mV管子基本就工作在线性区;一是怕管子由于工艺进入线性区;二是饱和区边缘rds较小。
以下是晶体管工作在速度饱和区的简单推导过程:
Cox是单位面积的栅氧化层电容。
μ是迁移率。在半导体材料中,载流子处于无规则的热运动状态,在外加电压时,载流子受到电场力的作用而定向移动,形成漂移电流。定向移动的速度也称漂移速度,电流方向由载流子类型决定。载流子的平均漂移速度v与电场强度E成正比,比率就是迁移率μ,其关系式为:
公式1.1
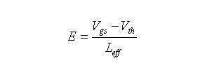
以NMOS为例,晶体管工作在饱和区,其沟道的电场强度E可以表示为:
公式1.2
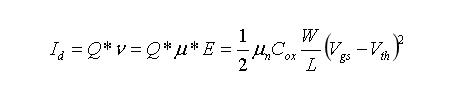
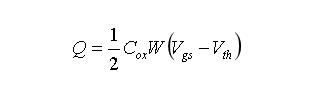
电流的其中一种定义是单位时间内通过导体横截面的总电荷数(载流子数目),即沿着电流方向电荷密度和速度的乘积。工作在饱和区的NMOS管,其平均电荷密度可以表示为:
公式1.3
那么根据电流的定义就可以得到与过驱动电压Vgs-Vth成平方律关系的经典电流公式,有:
公式1.4
在公式1.4中L为沟道实际长度,而在公式1.2中Leff为有效沟道长度,二者差异是因为这几个公式都不是经过严格地推导,存在一些近似,但不妨碍原理上的理解。
公式1.4是在晶体管的沟道电场强度E比较低时成立。当晶体管沟道的电场强度很高时其载流子的漂移速度不再与其电场强度成正比,而趋向于一个恒定值vsat,那么公式1.4改写为:
公式1.5
这时候,称晶体管工作在速度饱和区。对于电子,临界电场在1-5V/um之间。根据公式1.3,晶体管的沟道电场与过驱动电压Vgs-Vth和有效沟道长度直接相关,晶体管的过驱动电压Vgs-Vth越大,沟道长度越短(短沟道器件),晶体管越可能工作在速度饱和区。若将晶体管接成二极管形式,并对其Vgs从小到大进行扫描,管子将依次工作在截止区、弱反型区、强反型区、速度饱和区。
联系方式:邹先生
联系电话:0755-83888366-8022
手机:18123972950
QQ:2880195519
联系地址:深圳市福田区车公庙天安数码城天吉大厦CD座5C1
请搜微信公众号:“KIA半导体”或扫一扫下图“关注”官方微信公众号
请“关注”官方微信公众号:提供 MOS管 技术帮助
免责声明:本网站部分文章或图片来源其它出处,如有侵权,请联系删除。
