MOSFET放大电路分析-多种状态-KIA MOS管
信息来源:本站 日期:2022-05-16
研究MOSFET特性采用的典型电路:如图所示MOSFET有三个极,分别是栅极G、漏极D、源极S。RL作为载流电阻,V0_out一直等效于Vds。G_in为栅极的输入(在之后的说明中用V1替代)。
首先我们要先引进一个概念就是MOSFET的截止电压,当MOSFET的Vgs达到一定的的程度,也就是达到MOSFET器件的截至电压时(一般称这个电压为Vt),MOSFET的D极以及S极就会呈现导通的状态,这是我们研究饱和未饱和状态的基础。
当Vgs>=Vt时,D极和S极导通可以看做电阻极小的开路,所以可以认为电源达到了额定的输出电流。当MOSFET达到和未到达截止电压时输出是这样的。
MOSFET放大电路分析
分析MOSFET未饱和和饱和状态下的IDS
1、MOSFET饱和条件
当我们确定D极与S极现在处与一个导通状态后,我们还需要明确一点才能够开始研究MOSFET在饱和和未饱和状态下的电路输出。
1.Vgs>=Vt;
2.Vds>=Vgs-Vt;
电路在满足这三个条件的时候就达到了MOSFET的饱和状态,如果当前电路只满足了第一个条件而没有满足第二个条件这是MOSFET就处于一个未饱和的状态。
2、MOSFET未饱和状态
当MOSFETE未饱和是我们通常可以简单将MOSFET当做一个电阻来处理,电路输出是下图这样的。
随着Vds的增加,输出的Ids是线性的。由于MOSFET的电阻极小所以计算时可以直接代入RL的值进行计算Ids。
3、MOSFET饱和状态
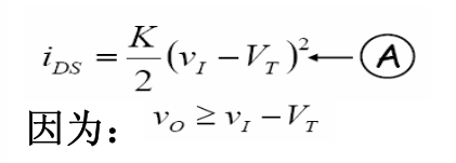
接下来是我们的重头戏,MOSFTE在饱和状态下的IDS分析。细心的朋友会发现在之前的分析中我们有提到2个条件,而在未饱和状态下的实线部分就是只满足了Vgs>=Vt这一个条件,当VD逐渐增大到满足第二个条件时Vds>=Vgs-Vt,或者Vgs在满足Vgs>=Vt这个条件下,变小了使得第二个条件满足时会发生什么呢?
这时我们的Ids就处于了一个稳定的状态,所以这时的MOSFET可以看做一个电流源饱和的电流可以通过这个公式计算出来。这个公式怎么得出的不是我们现在关注的对象,是由MOSFET本身的材料性质决定的。
而MOSFET的放大作用和做电流源的作用就由这个公式决定。
当Vgs以相当步长加减时我们可以看到Ids出现了指数级别的变化,由此产生了放大的作用,我们只用控制Vgs的值和Vds的值就可以控制MOSFET的放大作用。
联系方式:邹先生
联系电话:0755-83888366-8022
手机:18123972950
QQ:2880195519
联系地址:深圳市福田区车公庙天安数码城天吉大厦CD座5C1
请搜微信公众号:“KIA半导体”或扫一扫下图“关注”官方微信公众号
请“关注”官方微信公众号:提供 MOS管 技术帮助
免责声明:本网站部分文章或图片来源其它出处,如有侵权,请联系删除。
