低功耗设计—功耗构成和类型图文分享-KIA MOS管
信息来源:本站 日期:2022-04-19
低功耗按照类型分类,其构成主要有动态功耗、静态功耗、浪涌功耗这三种。
1)动态功耗
动态功耗包括:开关功耗或者称为翻转功耗、短路功耗或者称为内部功耗。
①开关功耗
在数字CMOS电路中,对负载电容进行充放电时消耗的功耗,比如对于下面的CMOS非门中
当Vin = 0时,上面的PMOS导通,下面的NMOS截止;VDD对负载电容Cload进行充电,充电完成后,Vout的电平为高电平。
当Vin = 1时,上面的PMOS截止,下面的NMOS导通,负载电容通过NMOS进行放电,放电完成后,Vout的电平为低电平。
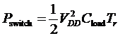
这样一开一闭的变化,电源的充放电,就形成了开关功耗,开关功耗Psitch的计算公式如下所示:
在上式中,VDD为供电电压,Cload为后级电路等效的电容负载大小,Tr为输入信号的翻转率。一般情况下,信号在一个周期内平均翻转两次,即上升沿一次、下降沿一次,也就是说,Tr = 2f,因此,平均功耗就是:
Pdynamic = Vdd*Vdd*CL*f
②短路功耗
短路功耗也称为内部功耗,短路功耗是因为在输入信号进行翻转时,信号的翻转不可能瞬时完成,因此PMOS和NMOS不可能总是一个截止另外一个导通,总有那么一段时间是使PMOS和NMOS同时导通,那么从电源VDD到地VSS之间就有了通路,就形成了短路电流,如下面的反相器电路图所示:
短路功耗Pshort的计算公式如下所示:
上式中,Vdd为供电电压,Tr为翻转率,Qx为一次翻转过程中从电源流到地的电荷量。
由此我们可以找到,动态功耗主要有开关功耗和短路功耗;其中开关功耗在动态功耗中占大部分比例;从上面的两个式子中我们可以看到,动态功耗主要跟电源的供电电压、翻转率、负载电容有关。
2)静态功耗
在CMOS电路中,静态功耗主要是漏电流引起的功耗,如下图所示:
漏电流有下面几个部分组成:
·PN结反向电流I1(PN-junction Reverse Current)
·源极和漏极之间的亚阈值漏电流I2(Sub-threshold Current)
·栅极漏电流,包括栅极和漏极之间的感应漏电流I3(Gate Induced Drain Leakage)
·栅极和衬底之间的隧道漏电流I4(Gate Tunneling)
一般情况下,漏电流主要是指栅极泄漏电流和亚阈值电流(进入超深亚微米工艺之后,隧道漏电流成为主要电流之一),因此下面就简单介绍一下这两种电流。
栅极泄漏功耗:在栅极上加信号后(即栅压),从栅到衬底之间存在电容,因此在栅衬之间就会存在有电流,由此就会存在功耗。
亚阈值电流:使栅极电压低于导通阈值,仍会产生从FET漏极到源极的泄漏电流。此电流称为亚阈值泄漏电流。在较狭窄的晶体管中,漏极和源极距离较近的情况下会产生亚阈值泄漏电流。晶体管越窄,泄漏电流越大。要降低亚阈值电流,可以使用高阈值的器件,还可以通过衬底偏置进行增加阈值电压,这些属于低功耗设计。
静态功耗的计算公式如下所示,Ileak为泄漏电流(Ipeak应该是Ileak):
静态功耗往往与工艺有关。
(3)浪涌功耗
浪涌功耗是浪涌电流引起的功耗。浪涌电流是指开机或者唤醒的时候,器件流过的最大电流,因此浪涌电流也称为启动电流。一般情况下,浪涌功耗不是我们关注的地方,因此这里只是说明有这个功耗存在。
功耗的构成——按结构分
前面按照类型进行功耗分类,这里使用结构进行分类,也就是根据设备的结构或者设备的构成进行分类。
(以SoC为例)主要分为:时钟树功耗、处理器功耗、存储器功耗、其他逻辑和IP核功耗、输入输出pad功耗。在不同的应用、设备中,这些功耗的比例不一样,但是时钟树、处理器、存储器占了绝大部分功耗,这是需要说明的。
联系方式:邹先生
联系电话:0755-83888366-8022
手机:18123972950
QQ:2880195519
联系地址:深圳市福田区车公庙天安数码城天吉大厦CD座5C1
请搜微信公众号:“KIA半导体”或扫一扫下图“关注”官方微信公众号
请“关注”官方微信公众号:提供 MOS管 技术帮助
免责声明:本网站部分文章或图片来源其它出处,如有侵权,请联系删除。

