实亿国际集成电路设计:MOS器件物理模型-KIA MOS管
信息来源:本站 日期:2022-03-31
MOS器件是模拟集成电路设计的基础,简单列举一下基本知识点:
1、基本器件模型
以下模型是针对长沟器件
图 1 MOS 器件结构
通过模型导出的器件Model通常是一个四端口网络,这是在实际器件中衬底也是需要接参考的。
通常NMOS器件衬底接地(或最低电平),相对应PMOS器件衬底接电源(或最高电平)。衬底电压不同会影响沟道电流。
图 2 衬底的连接
2、I-V特性
μn为电子迁移率, L为有效沟道长度,VTH为阈值电压,
Cox为单位面积的栅化层电容。
式子(1) 普遍使用,但一般用于计算三极管区(线性)
式子(2)条件为VDS = VGS- VH。
当VDS > VGS- VTH时,器件工作在饱和区。同时会在沟道形成耗尽区, L- > L'< L。
若L'近似等于L,那么ID与VDS无关,呈“平方律”特性,此时并没有考虑二次效应的影响。
特殊:当VDS<< VGS- VTH 时,工作在深三极管区。此时可用做线性电阻。
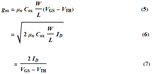
3、跨导
定义:漏电流的变化量除以栅源电压的变化量
饱和区:
跨导与VGS成正比,与漏极电流的根号成比例
三级管区:
如果器件进入三极管区,跨导将下降。因此,放大应用时,我们通常使MOSFETI作于饱和区。
4、二级效应
体效应/背栅效应:
此种情况就是提到的衬底电势问题,源衬电势差变化会引起阈值电压变化的效应称为体效应:
为体效应系数。阈值电压的改变在电路中起着很重要的作用。
沟道长度调制:
栅漏电压差增大时,实际反型沟道长度逐渐减小。实际的L'为漏源电压的函数。则修正公式(λ为沟道长度调制系数,沟道越长,其值越小):
沟道长度调制是在设计过程中是不可忽视的问题,尤其是短沟道器件中,除了考虑沟道长度还得考虑载流子迁移率的速度饱和的问题。
亚阈值导电性:
实际上VGS≤VTH时,实际器件并非完全关断,一个“弱”反型层仍然存在,并有源漏电流,其关系类似二极管是个指数关系:
亚阈值导电性是晶体管的一个重要工作状态,这表明不能只以简单的导通和关断状态来描述晶体管的工作。同时“弱”反型也提供了另一种电路设计的思路,在大多数电路中也是经常用到这一特性。
速度饱和
载流子迁移率也依赖于沟道区的横向电场。当电场达到1 V/um时,迁移率开始下降。由于载流子速度v=uE,当电场足够强时,u会达到一个饱和值,约为l0^7 cm/S。
载流子在整个沟道都达到速度饱和时,漏极电流为:
ID=VSat*WCox(VGS-VTH),此时漏极电流与过驱电压(VGS-VTH)成线性关系。
MOS器件模型有很多种,精度和复杂度各不相同:
1)Level1 模式就是一般教科书里的MOS模型,简单便于手工计算推导,只适合长沟器件且精度要求不高时。
2)当沟道长度小于4um时。Level1模型就表现出其缺陷,Level2模型就是为了表征更多的高阶效应而建立的。
3)Level3模型对Level2模型的解析表达式进行了简化,并引入了很多经验常数,提高了对沟道长度小于1um的器件的模拟精度。
4)BSIM/BSIM2/BSIM3模型:Leve1 - 3模型的特点是通过一些方程式描述器件特性,而这些方程是直接从器件物理导出的。然而,当器件尺寸进入亚微米后,物理意义明确、模型准确、运算效率高的解析式的建立变得困难。BSIM采用一种与其不同的方法:加人大量的经验参数来简化这些方程,其不足之处是与器件工作原理失去了联系。
5)此外还有其他各种模型。
联系方式:邹先生
联系电话:0755-83888366-8022
手机:18123972950
QQ:2880195519
联系地址:深圳市福田区车公庙天安数码城天吉大厦CD座5C1
请搜微信公众号:“KIA半导体”或扫一扫下图“关注”官方微信公众号
请“关注”官方微信公众号:提供 MOS管 技术帮助
免责声明:本网站部分文章或图片来源其它出处,如有侵权,请联系删除。
