实亿国际MOS管结构及其I/V特性详细分析-KIA MOS管
信息来源:本站 日期:2022-03-30
以NMOS为例介绍MOSFET的基本结构,如下图所示,器件以p型硅为衬底,并扩散形成两个重参杂n+的区域,分别为源端(Source)和漏端(Drawn),应当注意的是,对于单个器件,源端和漏端是人为定义的,两者是对称可交换的。
对于NMOS器件,源端一般接在电路的最低电位(接地),但对与PMOS源端一般接在最高电位(Vdd)。源漏之间的存在导电沟道,其理论长度为 LdrawnL,但是由于在形成过程中国的非理想因素的影响,导电沟道的长度会有一定程度的减小,也即 LeffL ,两者之间的距离差为由于电子(空穴)热运动引起的迁移长度LD。
在沟道上方先生长一层绝缘的二氧化硅,然后再生长已成多晶硅作为栅极,与源漏方向垂直的珊的尺寸叫栅宽W。可以知道,栅极与器件的其他部分是绝缘的,但是栅极却在MOS导电方面起着极其重要的作用:通过在栅极施加电压影响沟道的空穴(电子)的迁移进而影响器件的导电性能。
由此可见,在一定程度上来讲,MOSFET是压控器件,这在后面也会提到。应当注意的是,MOSFET是一个四端器件,但是通常情况下为了避免二级效应带来的影响,会将器件的源端和漏端相连,作为一个三端器件使用。
上图显示了在( VGS ? VTH )一定时漏源之间的电流随着漏源之间的电压变化的趋势,从图中可以看出,MOSFET的I/V特性曲线被划分到两个区域,即左上方的逐渐增加区域(三极管区)以及右下方的稳定区域(饱和区),其分别可以用两个公式来描述:
上述μn为电子迁移率, COX为栅氧化层的电容,W为栅宽,L为栅长,VGS为栅源之间的电压,VDS为漏源之间的电压,VTH为MOS结构的阈值电压
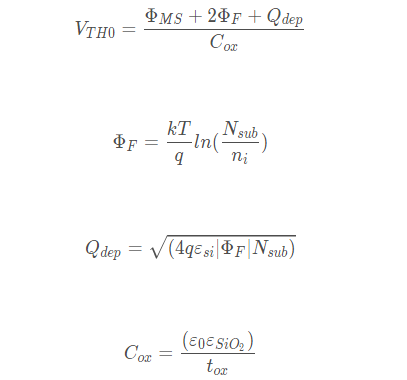
ΦMS为多晶硅栅和硅衬底功函数之间的压差,Nsub是衬底的参杂浓度,Qdep是耗尽区电荷,tox为氧化层厚度,ε表示对应的介电常数,进一步的,当 VDS <<(VGS ? VTH)时:
此时可以将MOSFET看作是一个电阻,并称MOSFET工作在深三极管区
注:对于PMOS器件,只需将上述公式中的μn改为up并添加负号即可。考虑到由于器件工作在饱和区时,ID保持不变,因此定义一个电导来描述它
该电导被称之为跨导,它表征了栅源电压转换为漏电流的能力。
联系方式:邹先生
联系电话:0755-83888366-8022
手机:18123972950
QQ:2880195519
联系地址:深圳市福田区车公庙天安数码城天吉大厦CD座5C1
请搜微信公众号:“KIA半导体”或扫一扫下图“关注”官方微信公众号
请“关注”官方微信公众号:提供 MOS管 技术帮助
免责声明:本网站部分文章或图片来源其它出处,如有侵权,请联系删除。
