差分放大电路的接法分析|超详细-KIA MOS管
信息来源:本站 日期:2021-07-28
1、双端输入单端输出电路
电路如右图所示,为双端输入、单端输出差分放大电路。由于电路参数不对称,影响了静态工作点和动态参数。
直流分析:
画出其直流通路如右下图所示,图中和是利用戴维宁定理进行变换得出的等效电源和电阻,其表达式分别为:

交流分析:
在差模信号作用时,负载电阻仅取得T1管集电极电位的变化量,所以与双端输出电路相比,其差模放大倍数的数值减小。
如右下图所示为差模信号的等效电路。在差模信号作用时,由于T1管与T2管中电流大小相等方向相反,所以发射极相当于接地。
输出电压:
一半。如果输入差模信号极性不变,而输出信号取自T2管的集电极,则输出与输入同相。
当输入共模信号时,由于两边电路的输入信号大小相等极性相同。与输出电压相关的T1管一边电路对共模信号的等效电路如下:
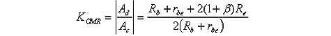
共模抑制比:
结论:Re愈大,Ac的值愈小,Kcmr愈大,电路的性能愈好。
2、单端输入、双端输出电路
如下图(a)所示为单端输入、双端输出电路。电路对于差模信号是通过发射极相连的方式将T,管的发射极电流传递到T,管的发射极的,故称这种电路为射极耦合电路。
如图(b)所示将输入信号进行等效变换,可看出,两输入端分别输入了差模信号和共模信号。
可见,单端输入电路与双端输入电路的区别在于:差模信号输入的同时,伴随着共模信号输入。
输出电压
静态工作点以及动态参数的分析完全与双端输入、双端输出相同。
3、单端输入、单端输出电路
如右图所示为单端输入、单端输出电路,该电路对静态工作点、差模增益、共模增益、输入与输出电阻的分析与单端输出电路相同。对输入信号的作用分析与单端输入电路相同。
联系方式:邹先生
联系电话:0755-83888366-8022
手机:18123972950
QQ:2880195519
联系地址:深圳市福田区车公庙天安数码城天吉大厦CD座5C1
请搜微信公众号:“KIA半导体”或扫一扫下图“关注”官方微信公众号
请“关注”官方微信公众号:提供 MOS管 技术帮助

