实亿国际MOS管知识-MOSFET耗散功率计算图文详细解析-KIA MOS管
信息来源:本站 日期:2020-10-19
为了确定一个MOSFET是否适合于某特定应用,你必须计算一下其功率耗散,它主要包含阻性和开关损耗两部分:
由于MOSFET耗散功率很大程度上依赖于它的导通电阻(Rds(ON),计算RDs(ON)看上去是一个很好的出发点。但是MOSFET的Rds(ON)与它的结温(Tj)有关。话说回来,Tj 又依赖于MOSFET的功率耗散以及MOSFET的热阻(θjA)。这样,似乎很难找到一个着眼点。由于功率耗散的计算涉及到若干个相互依赖的因素,我们可以采用一种迭代过程获得我们所需要的结果。
迭代过程始于为每个MOSFET假定一个结温,然后,计算每个MOSFET各自的功率耗散和允许的环境温度。当允许的环境气温达到或略高于期望的机壳内最高温度时,这个过程便结束了。有些人总试图使这个计算所得的环境温度尽可能高,但通常这并不是一个好主意。
这样作就要求采用更昂贵的MOSFET,在MOSFET下铺设更多的铜膜,或者要求采用一个更大、更快速的风扇产生气流一所有这些都不是我们所期望的。从某种意义上讲,先假定一个MOSFET结温,然后再计算环境温度,这是一种逆向的考虑方法。毕竟环境温度决定了MOSFET的结温一而不是相反。
不过,从一个假定的结温开始计算要比从环境温度开始容易一些。对于开关MOSFET和同步整流器,我们可以选择一个最大允许的管芯结温(TJ(HOT)作为迭代过程的出发点。
多数MOSFET的数据手册只规定了+25°C下的最大Rds(ON),不过最近有些产品也提供了+125'C下的最大值。MOSFET的RDS(ON)随着温度而增加,典型温度系数在0.35%/°C至0.5%/°C之间。
如果拿不准,可以用一个较为保守的温度系数和MOSFET的+25°C规格(或+125°C规格,如果有的话)近似估算在选定的TJ(HOT)下的最大Rds(ON):
其中,Rds(ON)SPEC 是计算所用的MOSFET导通电阻,TsPEC 是规定Rds(ON)SPEc时的温度。利用计算出的Rds(ON)HOT,可以确定同步整流器和开关MOSFET的功率消耗,具体做法如下所述,我们将讨论如何计算各个MOSFET在给定的管芯温度下的功率消耗,以及完成迭代过程的后续步骤(整个过程详述于图1)。
同步整流器的功率消耗
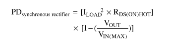
除最轻负载以外,各种情况下同步整流器MOSFET的漏源电压在打开和关闭过程中都会被续流二极管钳位。因此,同步整流器几乎没有开关损耗,它的功率消耗很容易计算。只需要考虑阻性损耗即可。最坏情况下的损耗发生在同步整流器工作在最大占空比时,也就是当输人电压达到最大时。
利用同步整流器的RDS(ON)HOT和工作占空比,通过欧姆定律,我们可以近似计算出它的功率消耗:
开关MOSFET的功率耗散
开关MOSFET的阻性损耗计算和同步整流器非常相似,也要利用它的占空比(不同于前者)和
开关MOSFET的开关损耗计算起来比较困难,因为它依赖于许多难以量化并且通常没有规格的因素,这些因素同时影响到打开和关闭过程。我们可以首先用以下粗略的近似公式对某个MOSFET进行评价,然后通过实验对其性能进行验证:
其中CRss是MOSFET的反向传输电容(数据手册中的一个参数),fsw 为开关频率,IGATE是MOSFET的栅极驱动器在MOSFET处于临界导通(VGs位于栅极充电曲线的平坦区域)时的吸收/源出电流。一旦基于成本因素将选择范围缩小到了特定的某一代MOSFET(不同代MOSFET的成本差别很大),我们就可以在这一代的器件中找到一个能够使功率耗散最小的器件。
这个器件应该具有均衡的阻性和开关损耗。使用更小(更快)的器件所增加的阻性损耗将超过它在开关损耗方面的降低,而更大(Rds(ON)更低)的器件所增加的开关损耗将超过它对于阻性损耗的降低。如果VIN是变化的,需要在VIN(MAX)和VIN(MIN)下分别计算开关MOSFET的功率耗散。
MOSFET功率耗散的最坏情况可能会出现在最低或最高输入电压下。该耗散功率是两种因素之和:在VIN(MIN)时达到最高的阻性耗散(占空比较高),以及在VIN(MAx)时达到最高的开关损耗(由于VIN2项的缘故)。一个好的选择应该在VIN的两种极端情况下具有大致相同的耗散,并且在整个VIN范围内保持均衡的阻性和开关损耗。
如果损耗在VIN(MIN)时明显高出,则阻性损耗起主导作用。这种情况下,可以考虑用一个更大一点的开关MOSFET(或将一个以上的多个管子相并联)以降低RDs(ON).但如果在VIN(MAx)时损耗显著高出,则应该考虑降低开关MOSFET的尺寸(如果是多管并联的话,或者去掉一个MOSFET),以便使其开关速度更快一点。
如果阻性和开关损耗已达平衡,但总功耗仍然过高,有多种办法可以解决:改变问题的定义。例如,重新定义输人电压范围。
改变开关频率以便降低开关损耗,有可能使用更大一点的、RdS(ON)更低的开关MOSFET。
增加栅极驱动电流,有可能降低开关损耗。MOSFET自身的内部栅极电阻最终限制了栅极驱动电流,实际上限制了这种方法的有效性。
采用一个改进技术的MOSFET,以便同时获得更快的开关速度、更低的RDS(ON)和更低的栅极电阻。
脱离某个给定的条件对MOSFET的尺寸作更精细的调整是不大可能的,因为器件的选择范围是有限的。选择的底线是MOSFET在最坏情况下的功耗必须能够被耗散掉。
联系方式:邹先生
联系电话:0755-83888366-8022
手机:18123972950
QQ:2880195519
联系地址:深圳市福田区车公庙天安数码城天吉大厦CD座5C1
请搜微信公众号:“KIA半导体”或扫一扫下图“关注”官方微信公众号
请“关注”官方微信公众号:提供 MOS管 技术帮助

