实亿国际

实亿国际

国家高新企业

cn

新闻中心

晶体管用作开关或双极结晶体管或BJT作为开关知识解析-KIA MOS管

实亿国际信息来源:本站 日期:2020-03-05 

分享到:

晶体管用作开关或双极结晶体管或BJT作为开关知识解析

晶体管用作开关或双极结晶体管或BJT作为开关的工作原理:当开关处于“OFF”位置时,开关提供开路(无限电阻),当它处于“ON”位置时,开关提供短路(零电阻)。类似地,在双极结型晶体管中,通过控制基极 - 发射极电流,可以使发射极 - 集电极电阻几乎无限或几乎为零。


BJT,晶体管


在晶体管特性中,存在三个区域。他们是

1、截止区域

2、 活动区域

3、饱和区域


BJT,晶体管


在有源区中,对于宽范围的集电极 - 发射极电压(V CE),集电极电流(I C)保持恒定。由于电压范围很宽且集电极电流几乎恒定,如果晶体管在该区域工作,则会有明显的功率损耗。当理想开关关闭时,电流为零,因此没有功率损耗。类似地,当开关接通时,开关两端的电压为零,因此没有再次断电。当我们想要将BJT作为开关操作时,它必须以这样的方式操作,使得在ON和OFF状态期间的功率损耗几乎为零或非常低。


只有当晶体管仅在特性的边缘区域中工作时才有可能。截止区域和饱和区域是晶体管特性中的两个边缘区域。


在该图中,当基极电流为零时,集电极电流(I C)对于宽范围的集电极 - 发射极电压(V CE)具有非常小的恒定值。因此,当晶体管与基极电流操作≤0时,集电极电流(I C ^ ≈0)非常微小,因此,该晶体管被说成是在OFF状态,但在同一时间,跨越该晶体管开关即我的功率损耗? ×V CE因微小的I C而可忽略不计。


BJT,晶体管


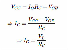
晶体管与输出电阻R C串联连接。因此,通过输出电阻的电流是


BJT,晶体管


如果晶体管以基极电流I B3工作,其集电极电流为I C1。I C小于I C1,然后晶体管工作在饱和区。这里,对于任何小于I C1的集电极电流,将有非常小的集电极 - 发射极电压(V CECE1)。因此,在这种情况下,通过晶体管的电流与负载电流一样高,但晶体管两端的电压(V CE CE1)非常低,因此晶体管中的功率损耗可以忽略不计。


BJT,晶体管


晶体管表现为ON开关。因此,对于使用晶体管作为开关,我们应该确保所施加的基极电流必须足够高以使晶体管保持在饱和区域,以获得集电极电流。


BJT,晶体管


因此,从上面的解释,我们可以得出结论,双极结型晶体管仅在其特性的截止和饱和区域工作时才表现为开关。在切换应用中,避免了有源区域或有源区域的特性。正如我们已经说过的,晶体管开关的功率损耗非常低,但不是零。因此,它不是一个理想的开关,但可以作为特定应用的开关。


我们都知道一台计算机的核心就是处理器(CPU),它的职责就是运算,而CPU是一块超大规模的集成电路,所以我们要想弄清楚计算机的运算机制就要了解集成电路是如何具有运算能力的,而集成电路是由大量晶体管等电子元器件封装而成的,所以探究计算机的计算能力就可以从晶体管的功能入手。


众所周知,CPU的价格非常昂贵也就是因为里面的晶体管很多,一个晶体管的改进至少需要上一个晶体管三年的销售成本,所以在7nm晶体管研发出来之后需要资金进行研发,在晶体管当中圆晶太大发热量也就很大,耗电自然也会非常高,所以晶体管工艺的提高能够大大的降低发热量和耗电量。当然说到这里可能大家就非常清楚为什么不继续研究5NM的晶体管了,当然5nm的晶体管相对于7NM的晶体管不仅仅是长度场的差距,更大的差距则是在工艺和定律上的差距。


联系方式:邹先生

联系电话:0755-83888366-8022

手机:18123972950

QQ:2880195519

联系地址:深圳市福田区车公庙天安数码城天吉大厦CD座5C1


请搜微信公众号:“KIA半导体”或扫一扫下图“关注”官方微信公众号

请“关注”官方微信公众号:提供 MOS管 技术帮助