实亿国际

实亿国际

国家高新企业

cn

新闻中心

mos管公式-分享MOS管公式驱动电流、饱和区电流等-KIA MOS管

信息来源:本站 日期:2020-02-27 

分享到:

mos管公式-分享MOS管公式驱动电流、饱和区电流等

mos管公式详解


mos管公式


mos管公式-MOS管驱动电流的估算

mos管公式驱动电流的估算第一种:


可以使用如下公式估算:


Ig=Qg/Ton


其中:


Ton=t3-t0≈td(on)+tr


td(on):MOS导通延迟时间,从有驶入电压上升到10%开始到VDS下降到其幅值90%的时间。


Tr:上升时间。输出电压VDS从90%下降到其幅值10%的时间


Qg=(CEI)(VGS)或Qg=Qgs+Qgd+Qod (可在datasheet中找到)


mos管公式驱动电流的估算第二种:

密勒效应时间(开关时间)Ton/off=Qgd/Ig;


Ig=[Vb-Vgs(th)]/Rg;


Ig:MOS栅极驱动电流;Vb:稳态栅极驱动电压;


mos管公式驱动电流的估算第三种:

以IR的IRF640为例,看DATASHEET里有条Total Gate Charge曲线。该曲线先上升然后几乎水平再上升。水平那段是管子开通(密勒效应)假定你希望在0.2us内使管子开通,估计总时间(先上升然后水平再上升)为0.4us,由Qg=67nC和0.4us可得:


67nC/0.4us=0.1675A,当然,这是峰值,仅在管子开通和关短的各0.2us里有电流,其他时间几乎没有电流,平均值很小,但如果驱动芯片不能输出这个峰值,管子的开通就会变慢。


mos管公式


mos管公式饱和区电流公式及其详解

mos管公式饱和区电流公式,在强反型状态下饱和区中的工作。小信号参数的值因MOS晶体管的工作区域而变化。假定MOS晶体管处于VGS比阈值电压VT高得多的强反型状态,而且工作在饱和区,求这种状况下的小信号参数。


可将跨导gm表示如下:


mos管公式


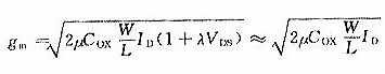
在能够疏忽沟道长度调制效应的状况下,得到


mos管公式


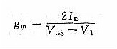
这个跨导gm能够用漏极电流ID表示为


mos管公式


也能够用漏极电流ID和栅极-源极间电压VGS表示为


mos管公式


体跨导gmb能够由下式求得:


mos管公式


由式(1.18)和式(1.20),能够分别导出


mos管公式


所以得到


mos管公式


mos管公式


联系方式:邹先生

联系电话:0755-83888366-8022

手机:18123972950

QQ:2880195519

联系地址:深圳市福田区车公庙天安数码城天吉大厦CD座5C1


请搜微信公众号:“KIA半导体”或扫一扫下图“关注”官方微信公众号

请“关注”官方微信公众号:提供 MOS管 技术帮助