实亿国际

实亿国际

国家高新企业

cn

新闻中心

实亿国际全桥拓扑​基本工作原理

信息来源:本站 日期:2017-05-17 

分享到:

实亿国际 全桥变换器如图 3.3 所示,其输入与半桥变换器相同 ,采用倍压全桥切换整流电路 。 全桥拓扑可用于构成接 440V  网电的离线变换器 。


全桥拓扑变换器最主要的优点是 ,其初级施加的是幅值为的方波电压,而非半桥变换器的士Vc1c / 2 ,但其开关管承受的关断电压却与半桥变换器相同 ,等于最大输入直流电压 。所以 在开关管承受相同峰值电流和电压的 条件下 ,全桥变换器输出功率是半桥变换器的两倍 。当 然,由于全桥变换器变压器初级承受相当于半桥变换器变压器初级两倍的输入电压 ,所以其 臣数为半桥的两倍 。但当输出功率和输入直流电压相同时 ,全桥变换器初级电流峰值和有效 值只有半桥的一半 。所以,相同功率下两种变换器的变压器大小是一样的 。但若使用较大体 积的变压器 ,全桥变换器可在相同开关管电流电压定额 F得到两倍于半桥的功率输出 。


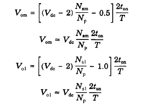
图 3.3 中的全桥变换器有两个输出 ,即主输出和辅输出。电路工作过程为 ,斜对角的两个MOS管开关管 ( Q2 和 Q3 或 Q4 和 QI) 同时导通,两组开关管交替导通半个周期 ,若忽略 开关管的导通压降 ,则施加到变压器的初级电压是幅值为Vdc、宽度为 ton     ( 受反馈环控制)的交变方波。

电压和负载变化时,反馈环检测输出电压Vdc 的变化并调制脉宽 ton ’ 以维持输出电压不变。与其他拓扑相间 ,全桥变换器辅输出在网压改变时能保持不变 ,但负载变化超出 5%~ 8%时,辅输出很难保持恒定 。设每个开关管的导通压降为 IV ,主输出肖特基整流管的导通压降为 0.5V ,辅输出整流 管导通压降也为 IV,则变换器输出电压为

实亿国际 与其他拓扑原理相同 ,当输入电压以一定比例上升或下降时,脉宽调制器将以同样的 比例减小或增大脉宽保持的乘积不变来保持输出电压恒定 。


实亿国际 联系方式:邹先生

实亿国际 手机:18123972950

实亿国际 QQ:2880195519

实亿国际 联系地址:深圳市福田区车公庙天安数码城天吉大厦CD座5C1


关注KIA半导体工程专辑请搜微信号:“KIA半导体”或点击本文下方图片扫一扫进入官方微信“关注”

长按二维码识别关注

3000万彩票-追求健康,你我一起成长 乐发IV - welcome u284彩票- 欢迎您 实亿国际(中国区)官方网站 永兴集团yx06 5630彩票(中国区)官方网站 佰利乐·(中国区)有限公司官网 金彩汇 - welcome首页