实亿国际

实亿国际

国家高新企业

cn

新闻中心

在LLC拓扑中 为什么选用体二极管恢复快的MOSFET-KIA MOS管

信息来源:本站 日期:2019-12-06 

分享到:

在LLC拓扑中 为什么选用体二极管恢复快的MOSFET

在当前全球能源危机的形式下,提高电子设备的能效,取得高性能同时降低能耗,成为业内新的关注点。为顺应这一趋势,世界上许多电子厂商希望在产品规格中提高能效标准。在电源管理方面,用传统的硬开关转换器是很难达到新能效标准。因此,电源设计者已将开发方向转向软开关拓扑,以提高电源的能效,实现更高的工作频率。


LLC谐振转换器就是一种软开关拓扑,允许主功率开关管零电压开关,显著降低开关损耗,大幅提高电源能效。在这种拓扑中,为了实现ZVS开关,功率开关管的寄生体二极管必须反向恢复时间非常短。如果体二极管不能恢复全部载流子,则在负载从低到高的变化过程中,可能会发生硬开关操作,并可能导致寄生双极晶体管导通。


拓扑简介

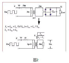
LLC拓扑的基本半桥电路是由两个开关管组成,高边开关管(Q1)和低边开关管(Q2)通过电感Lr和电容Cr与变压器相连(见图1)。开关管与寄生体二极管(D1和D2)和寄生输出电容(C1和C2)并联,为了阐明它们在全局功能中的作用,我们在图中把它们单独标注出来。


在图1中,我们注意到多出一个Lr电感,实际上,Lr是变压器漏电感,其规则在LLC拓扑中非常重要。


LLC,MOSFET,二极管,变压器


如果变压器原边电感Lm值很大,不会影响谐振网络,则上图所示的转换器就是一个串联谐振转换器。


LLC,MOSFET,二极管,变压器


在一个谐振单元中,当输入信号频率(fi)等于谐振频率(fr)时 - 即当LC阻抗为零时,增益最大。谐振转换器工作频率范围是由两个特定的谐振频率值界定,这些频率值与电路有关。驱动控制器设定MOSFET的开关频率(fs)等于电路谐振频率,以保证谐振的重要优势。

现在我们将看到,如何通过改变负载,使谐振频率从最小值(fr2)变为最大值(fr1):


LLC,MOSFET,二极管,变压器


时,LLC就像一个串联的RC谐振腔;这种功能出现在高负载条件下,即当Lm与低阻抗并联时;当时,LLC类似于并联RC谐振腔,这功能出现在低负载条件下。系统通常不在这个区域工作,因为可以在ZCS条件下运行。如果频率fi在fr2 < fi < fr1范围内,则两个功能同时存在。


如果使用图形表示谐振单元的增益,我们就得到图3所示的曲线,不难看出,图形变化与Q值相关。


LLC,MOSFET,二极管,变压器


LLC谐振转换器的工作范围受限于峰值增益。值得注意的是,峰值电压增益既不发生在fr1处 ,也不出现在 fr2处。峰值增益对应的峰值增益频率是fr2与fr1之间的最大频率。随着Q值减小(随着负载减小),峰值增益频率移向fr2,并且获得更高的峰值增益。随着Q值增加(负载增加),峰值增益频率移向fr1,峰值增益下降。因此,满载应该是谐振网络设计的最差工作条件。


从MOSFET角度看,如前所述,MOSFET的软开关是包括LLC在内的谐振转换器的重要优点,而对于整个系统,由于输出电流是正弦波,因此, EMI干扰降低。图4所示是LLC转换器的典型波形特性。


LLC,MOSFET,二极管,变压器


在图4中我们注意到,漏极电流Ids1在变正前是在负电流区摆动。负电流值表示体二极管导通。在此阶段,由于二极管上的压降,MOSFET漏源两极的电压非常小。如果MOSFET在体二极管导通期间开关,则发生ZVS开关,开关损耗降低。该特性可以缩减散热器尺寸,提高系统能效。


如果MOSFET开关频率fs小于fr1,功率器件上的电流的形状会改变。事实上,如果持续时间足以在输出二极管上产生不连续的电流,则原边电流形状会偏离正弦波形。


LLC,MOSFET,二极管,变压器


此外,如果MOSFET的寄生输出电容C1和C2与Cr的容值相当,则谐振频率fr也会受到器件的影响。正是由于这个原因,在设计过程中,选择Cr值大于C1和C2,可以解决这个问题,使fr值不受所用器件的影响。


续流和ZVS条件

分析一下谐振频率的方程式就会发现,在高于峰值增益频率时,谐振网络的输入阻抗是感抗,谐振网络的输入电流(Ip)滞后于谐振网络的输入电压(Vd)。在低于峰值增益频率时,谐振网络的输入阻抗变为容抗,并且Ip领先Vd。在电容区工作时,体二极管在MOSFET开关期间执行反向恢复操作。


当系统在电容区工作时,MOSFET会面临极大的潜在失效风险。事实上,如图6中的绿色圆圈所示,寄生体二极管的反向恢复时间变得非常重要。


LLC,MOSFET,二极管,变压器


根据这一点,在负载由低变高的过程中(图7),驱动电路应强制MOSFET进入ZVS和正关断电流区。如果无法保证,MOSFET的工作区可能很危险。


LLC,MOSFET,二极管,变压器


在低负载稳态条件下,系统工作在频率较低的谐振频率fr2附近,然后ZVS导通,并保证正关断漏极电流。在负载变化(从低到高)后,开关频率应该变成新的谐振频率。如果没有发生这种情况(如图8中绿线所示),则系统状态经过区域3(ZCS区域)和ZVS导通,正关断漏极电流不会出现。因此,当MOSFET关断时,电流也会流过寄生体二极管。


在增益图上分析一下负载从低变高的过程,我们不难发现:


LLC,MOSFET,二极管,变压器


黑虚线代表负载变化期间的理想路径,而绿虚线表示实际路径。在负载从低变高的过程中,可以看到系统经过ZCS区域,因此,寄生体二极管的性能变得非常重要。出于这个原因,新LLC设计的趋势是使用体二极管恢复时间非常短的功率器件。


MOSFET的优势

MOSFET简称金氧半场效晶体管(Metal-Oxide-Semiconductor Field-Effect Transistor, MOSFET)是一种可以广泛使用在模拟电路与数字电路的场效晶体管(field-effect transistor)。MOSFET依照其“通道”(工作载流子)的极性不同,可分为“N型”与“P型” 的两种类型,通常又称为NMOSFET与PMOSFET,其他简称尚包括NMOS、PMOS等。


1、场效应晶体管是电压控制元件,而双极结型晶体管是电流控制元件。在只允许从取较少电流的情况下,应选用场效应管;而在信号电压较低,又允许从信号源取较多电流的条件下,应选用双极晶体管。


2、有些场效应管的源极和漏极可以互换使用,栅压也可正可负,灵活性比双极晶体管好。


3、场效应管是利用多数载流子导电,所以称之为单极型器件,而双极结型晶体管是即有多数载流子,也利用少数载流子导电。因此被称之为双极型器件。


4、场效应管能在很小电流和很低电压的条件下工作,而且它的制造工艺可以很方便地把很多场效应管集成在一块硅片上,因此场效应管在大规模集成电路中得到了广泛的应用。


联系方式:邹先生

联系电话:0755-83888366-8022

手机:18123972950

QQ:2880195519

联系地址:深圳市福田区车公庙天安数码城天吉大厦CD座5C1


请搜微信公众号:“KIA半导体”或扫一扫下图“关注”官方微信公众号

请“关注”官方微信公众号:提供 MOS管 技术帮助