实亿国际

实亿国际

国家高新企业

cn

新闻中心

8大MOS数据说明让你彻底理解MOSFET的Datasheet-KIA MOS管

实亿国际信息来源:本站 日期:2019-07-26 

分享到:

8大MOS数据说明让你彻底并理解MOSFET的Datasheet

MOSFET的Datasheet

首先来介绍一下Datasheet是什么意思吧。它一般指数据表的意思,MOSFET的Datasheet就是MOS管的数据表,即是规格书。


所有功率MOS制造厂商都会提供每种型号产品的详细说明书。说明书用来说明各种产品的性能,这对于在不同厂商之间选择相同规格的器件很有用。


在一些情况下,不同厂商所提供的参数所依据的条件可能有微妙的区别,尤其在一些非重要参数例如切换时间。另外,数据说明书所包含的信息不一定和应用相关联。因此在使用说明书和选择相同规格的器件时需要特别当心以及要对数据的解释有确切的了解。本文以BUK553-100A为例,这是一种100V逻辑电平MOS管。


功率MOS数据说明书所包含的信息,数据说明书一般由以下八个部分组成:


1、快速参考数据


2、读懂极限值


3、静态特性


4、动态特性


5、反向二极管极限值及特性


6、雪崩极限值


7、安全运行区域


8、测量电流


下面我们将一一介绍这8个组成部分。


1、快速参考数据

这些数据作为迅速选择的参考。包括器件的关键参数,这样工程师就能迅速判断它是否为合适的器件。在所包括的五个参数中,最重要的是漏源电压VDS是和开启状态下的漏源阻抗RDS(ON)。VDS是器件在断开状态下漏极和源极所能承受的最大电压。RDS( ON)是器件在给定栅源电压以及25℃的结温这两个条件下最大的开启阻抗(RDS(ON)由温度所决定,见其静态特性部分) 。这两个参数可以说明器件最关键的性能。


漏极电流值(ID)和总耗散功率都在这部分给出 。这些数据必须认真对待因为在实际应用中数据说明书的给定的条件很难达到(见极限值部分)。在大多数应用中,可用的dc电流要比快速参考说明中提供的值要低。限于所用的散热装置,大多数工程师所能接受的典型功率消耗要小于20W(对于单独器件)。结温(TJ)通常给出的是150℃或者175℃。器件内部温度不建议超过这个值。


2、读懂极限值

这个表格给出六个参数的绝对最大值。器件可以在此值运行但是不能超出这个值,一旦超出将会对器件发生损坏。


漏源电压和漏栅电压有同样的值。给出的数据为可以加在各相应端所使用的最大电压。栅源电压VGS,给出在栅极和源极之间允许加的最大电压。一旦超过这个电压值,即使在极短的时间内也会对栅极氧化层产生永久性损害。给出的两个直流漏极电流值ID,一个是在背板温度为25℃时,另一个是在背板温度为100℃时。再且这些电流值不代表在运行过程中能够达到。当背板温度在所引述的值时,这些电流值将会使得结温达到最大值。因此最大电流降额作为背板温度的函数,所引用的两个值曲线是降额曲线上的两个点(见图一)。


MOSFET,MOSFET的Datasheet


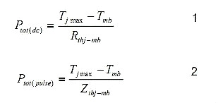
引述的第三个电流值是脉冲峰值IDM。功率MOS器件总的来说都有很强的峰流通过能力。连接管脚和芯片上的内部接线决定该极限值。IDM所能应用的脉冲宽度取决于热考虑(见计算电流的部分)。总消耗功率,Ptot,以及最大结温在快速参考数据中也已说明。Ptot的值在等式1中以商的形式给出(见安全运行区部分)。所引述的条件是衬底温度保持在25℃。例如,BUK553- 100A的Ptot值为75W,消耗这个功率使衬底温度保持在25℃是极大的挑战。衬底温度越高,能耗散的总耗散功率越低。      


很显然如果衬底温度等于最大允许的结温时,没有功率可被耗散掉。如图2的降额曲线,此器件的结温为175℃。


MOSFET,MOSFET的Datasheet


引述的存储温度通常在-40/-55℃ 和+150/+175℃之间。存储温度和结温是由我们质量部门经过广泛的可靠性测量后所指定的。超过所给出的温度将会使可靠性降低。


绝缘封装时,背板(硅芯片安装在上面的金属层)完全压缩在塑料中。因此无法给出结点到背板的热阻值,取代之是结点到散热片的Rthj-hs,它表现出散热片复合的作用。当比较绝缘封装和非绝缘封装型号的热阻时必须特别小心。例:非绝缘BUK553-100A的Rthj-mb为2K/W。绝缘BUK543-100A的Rthj-hs为5K/W。它们有同样的晶体但是所封装不同。初比较时,非绝缘的型号似乎可以承受更大功率(即电流)。然而BUK553-100A在结点到散热片的热阻测量中, 这还包括背板和散热片之间的额外热阻。一些绝缘措施用在大多数情况中, 例如云母垫圈,其背板到散热片的热阻为2K/W。因此结点到散热片的总热阻为Rthj-hs(非绝缘型)=Rthj-mb+Rthmb-hs =4K/W,可以看出实际中绝缘和非绝缘型的型号区别并不大。


3、静态特性

这个部分的参数描述击穿电压,开启电压,泄漏电流,开启阻抗的特性。漏源击穿电压比漏源电压的极限值要大。它可以用曲线跟踪仪测量,当栅极端和源极端短路时,它是漏极电流为250uA时的电压。栅极开启电压VGS(TO),表示的是使器件达到导通状态时栅极(相对于源极)所需要的电压。对于逻辑电平器件来说,栅极开启电压通常在1.0和2.0V间;对于标准器件则是2.1到4V之间。


MOSFET,MOSFET的Datasheet


图3的表示漏极电流为VGS的函数说明典型的传输特性。图4表示栅极开启电压随着结温而变化。在次开启传导时,图5表示在VGS电平低于门槛时漏极电流怎样随着栅源电压变化。


断电状态时泄漏电流是漏源和栅源在各自所能承受最大电压情况下所规定的。注意到尽管栅源泄漏电流以十亿分之一安培为单位表示,它们的值遵循兆分之一安培而变化。


MOSFET,MOSFET的Datasheet


MOSFET,MOSFET的Datasheet


MOSFET,MOSFET的Datasheet


漏源导通电阻具有重要意义。它是当逻辑电平场效应管栅源电压5V时的值;标准器件时栅源电压为10V时的值。在10V以上增加栅源电压时,标准MOS管的导通电阻没有明显减少。减少栅极电压然而可以增加导通电阻。对于逻辑电平场效应管来说,BUK553-100A,在栅极电压为5V的情况下给出导通电阻,然而当栅极电压到达10V时,导通电阻将明显减少,这是由于其输出特性图6和导通电阻特性图7决定(BUK553-100A)。

(插图5)


4、动态特性

包括跨导,电容以及转换时间。正向跨导 Gfs,是增益参数,它表示在器件饱和状态下,栅极电压的变化引起的漏极电流的变化(MOSFET的饱和特性参考输出特性的平面部分)。


图9表示BUK553-100A中作为漏极电流函数的Gfs是怎样变化的。


MOSFET,MOSFET的Datasheet


电容被大多数制造厂商分成输入电容,输出电容以及反馈电容。所引述的值是在漏源电压为25V情况下的。仅表明了一部分性质因为MOSFET电容值是依赖于电压值的,当电压降低时电容升高。

图10表明电容随电压的变化情况。电容数值的作用是有限的。输入电容值只给出一个大概的驱动电路所需的充电说明。可能栅极充电信息更为有用。如图11给出的例子。它表明为达到一个特定的栅源电压栅极所必须充的电量。


MOSFET,MOSFET的Datasheet


例如把BUK553-100A充电到VGS=5V,漏源电压为80V,所需12.4nc的电量。这样的充电速度可以满足栅极电路电流的需要。


阻抗负载切换时间也被许多制造厂商所引述,然而必须极其小心地比较不同制造厂商所给的数据说明。功率MOSFET的切换速度只受电路以及封装自感限制,电路中的实际速度是由内部电容被驱动电路充电和放电的速度所决定的。切换时间因此很大程度上取决于所处的电路环境;一个低的栅极驱动电阻将会提供更短的切换时间反之亦然。飞利浦数据说明中所有的功率MOS的切换时间都是在栅源之间放一50W电阻的情况下测得的。这个器件是由一源极阻抗为50W的脉冲发生器切换的。总的栅极驱动电路的阻抗因此为25。


MOSFET,MOSFET的Datasheet



动态特性也包括典型封装自感,当电路中的切换速度很快时,即dI/dt值很大时,自感变得非常重要。例如,在60ns中变化30A给出的dI/dt为0.5 A/ns,源极引线的典型自感为7.5nH,由V=-L*dI/dt得出从内部源极(内部连接源极的导线与芯片结合的部分)到外部引脚的电压为3.75V,正常标准器件被栅源电压为10V所驱动时,实际半导体上栅源电压在开启状态下只有6.25V,因此切换速度最终被封装自感所限制。


5、反向二极管极限值及特性

反向二极管是垂直结构的功率MOSFET固有的,在一些电路中这种二极管有重要功能,因此这种二极管的特性需要详细说明。这种二极管里允许通过的正向电流被叙述成“连续反向漏极电流” 和“ 脉冲反向漏极电流”。如图12,顺向压降也是特性之一。这种二极管的切换能力根据反向恢复参数trr和Qrr给出。


MOSFET,MOSFET的Datasheet



因为二极管作为双极器件,它受到电荷储存的影响。因为二极管要断开电荷必须清除。反向恢复电荷由Qrr给出,反向恢复时间由trr,给出,注意trr完全由电路中-dIf/dt决定,它在数据说明书中的值为100A/s。


6、雪崩极限值

这个参数是产品处理瞬时过压能力的指示。如果电压超过漏源极限电压将导致器件处在雪崩状态。这个强度是根据背板温度为25℃时漏极接不钳位电感,器件非重复关断所能承受的能量来定义的。这个能量水平在背板温度越高时越小,如图13。


MOSFET,MOSFET的Datasheet


无重复意味着电路不应设计成使功率MOS重复处于雪崩状态。运行该能力只允许意外的电路条件导致瞬时过压发生时,器件能够幸免损坏。

飞利浦的新一代中压MOSFET也具有重复雪崩能。根据背板温度为25℃,MOSFET漏极接无钳位电感反复切换所能承受的能量,它表明器件能够经得住反复瞬间漂移到雪崩击穿状态,并且结温不超过极限值。


7、安全运行区域

每种功率MOS都给出其安全运行区域。不同于双极型晶体管,功率MOS不会表现出二次击穿机制,因此安全运行区域只简单从导致结温达到最大允许值时的耗散功率定义。图14表示的是BUK553-100的安全区域。这个区域受有限的漏源电压和有限的电流值以及不同脉冲周期的恒定功率曲线所限制。这里都是以背板温度为25℃为前提的。恒定功率曲线表示使结温升高Tjmax-Tmb的功率。Tjmax为175℃的器件的Tjmax–Tmb等于150℃;Tjmax为150℃ 的器件的Tjmax–Tmb等于125℃。很显然在多数应用中背板温度高于25℃,因此安全区域面积会减少,可以很简单的测算最大功率。


MOSFET,MOSFET的Datasheet


直流曲线以结点到背板的热阻(在绝缘封装的情况下结点到散热片)代入等式1。脉冲运行曲线假定为单次开关,用瞬时热阻值代替热阻值。每种型号的瞬时热阻都以图表数据表示,如图15。为测算单次开关耗散功率的能力,需要的脉冲宽度值从曲线D=0开始,代入等式2。


MOSFET,MOSFET的Datasheet


下面将是如何计算1ms脉冲时最大耗散功率的例子。


例1计算在Tjmax为175℃,Tmb为25℃时最大耗散功率。这个功率等于图14安全运行区域1ms曲线下的面积。例2是说明当Tmb高于 25℃时,所耗散的功率是如何减少的。


MOSFET,MOSFET的Datasheet


469W这条线可以在图14上观察到。(4.69A@100V和15.6A@30V等)


例2:BUK553-100A在75℃,1ms的脉冲下,Zth= 0.32K/W, Tjmax=175℃,Tmb =75℃


MOSFET,MOSFET的Datasheet


因此当背板温度为75℃时,最大允许耗散的功率与25℃时的值比较减少了1/3 。


8、测量电流

数据表中引述的电流额直接来源于最大耗散功率:


MOSFET,MOSFET的Datasheet


用等式1代替Ptot,得等式4:


MOSFET,MOSFET的Datasheet


为了测得一个更真实的电流,有必要用所需运行时结温代替等式4中的Tjmax以及用实际工作值代替Tmb,一般来说建议不要将器件一直运行在Tjmax状态下。为了达到长期的稳定性,125℃是比较合适的结点运行温度。Tmb在75℃和110℃之间的值也是较为典型。

拿BUK553-100A来说,它有一个13A的电源电流级别。设Tmb为100℃,Tj为125℃时,器件电流计算如下:


从图8得:


MOSFET,MOSFET的Datasheet


Rthj-mb=2K/W代入等式4得:


MOSFET,MOSFET的Datasheet


因此器件在这些条件下传导电流为6.3A即12.5W的耗散功率。


联系方式:邹先生

联系电话:0755-83888366-8022

手机:18123972950

QQ:2880195519

联系地址:深圳市福田区车公庙天安数码城天吉大厦CD座5C1


请搜微信公众号:“KIA半导体”或扫一扫下图“关注”官方微信公众号

请“关注”官方微信公众号:提供 MOS管 技术帮助