n沟道场效应管工作原理、特性及结构详解-N沟道场效应管型号-KIA MOS管
实亿国际信息来源:本站 日期:2018-09-30
绝缘栅型场效应管的构造表示图如图2-34所示。
1)n沟道增强型MOSFET的导电沟道的构成
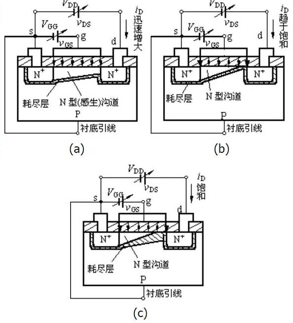
n沟道加强型MOSFET的沟道构成及符号如图2-35所示,其中图2-35 (a)所示是在一块杂质浓度较低的P型半导体衬底上制造两个高浓度的N型区,并分别将它们作为源极s和漏极D,然后在衬底的外表制造一层Si02绝缘层,并在上面引出一个电极作为栅极G。图2-35(b)所示是其在电路中的符号。
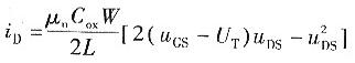
式中,UT为开启电压(或阈值电压);μn为沟道电子运动的迁移率;Cox为巾位面积栅极电容;W为沟道宽度;疋为沟道长度;W/L为MOSFET的宽长比。在MOSFET集成电路设计中,宽长比是一个极为重要的参数。
n沟道MOS管的输出特性曲线如图2-37所示。与结型场效应管的输出特性相似,它也分为恒流区、叮变电阻区、截止区和击穿区。其特性如下所示。
①截止区:UGS≤UT,导电沟道未构成,iD=0。
②恒流区:
1、曲线距离平均,UGS对iP的控制才能强;
2、UDS对iD的控制才能弱,曲线平整;
3、进入恒流区的条件,即预灾断条件为UDS≥UCS-UT。
③可变电阻区:
可变电阻区的电流方程为:
因而,可变电阻区的输出电阻rDS为
1.vGS对iD及沟道的控制作用
MOS管的源极和衬底通常是接在一起的(大多数管子在出厂前已连接好)。从上图(a)可以看出,增强型MOS管的漏极d和源极s之间有两个背靠背的PN结。当栅-源电压vGS=0时,即使加上漏-源电压vDS,而且不论vDS的极性如何,总有一个PN结处于反偏状态,漏-源极间没有导电沟道,所以这时漏极电流iD≈0。
若在栅-源极间加上正向电压,即vGS>0,则栅极和衬底之间的SiO2绝缘层中便产生一个垂直于半导体表面的由栅极指向衬底的电场,这个电场能排斥空穴而吸引电子,因而使栅极附近的P型衬底中的空穴被排斥,剩下不能移动的受主离子(负离子),形成耗尽层,同时P衬底中的电子(少子)被吸引到衬底表面。当vGS数值较小,吸引电子的能力不强时,漏-源极之间仍无导电沟道出现,如上图(b)所示。
vGS增加时,吸引到P衬底表面层的电子就增多,当vGS达到某一数值时,这些电子在栅极附近的P衬底表面便形成一个N型薄层,且与两个N+区相连通,在漏-源极间形成N型导电沟道,其导电类型与P衬底相反,故又称为反型层,如上图(c)所示。vGS越大,作用于半导体表面的电场就越强,吸引到P衬底表面的电子就越多,导电沟道越厚,沟道电阻越小。我们把开始形成沟道时的栅-源极电压称为开启电压,用VT表示。
由上述分析可知,N沟道增强型MOS管在vGS<VT时,不能形成导电沟道,管子处于截止状态。只有当vGS≥VT时,才有沟道形成,此时在漏-源极间加上正向电压vDS,才有漏极电流产生。而且vGS增大时,沟道变厚,沟道电阻减小,iD增大。这种必须在vGS≥VT时才能形成导电沟道的MOS管称为增强型MOS管。
2.vDS对iD的影响
如上图(a)所示,当vGS》VT且为一确定值时,漏-源电压vDS对导电沟道及电流iD的影响与结型场效应管相似。漏极电流iD沿沟道产生的电压降使沟道内各点与栅极间的电压不再相等,靠近源极一端的电压最大,这里沟道最厚,而漏极一端电压最小,其值为vGD=vGS - vDS,因而这里沟道最薄。但当vDS较小(vDS《vGS–VT)时,它对沟道的影响不大,这时只要vGS一定,沟道电阻几乎也是一定的,所以iD随vDS近似呈线性变化。
随着vDS的增大,靠近漏极的沟道越来越薄,当vDS增加到使vGD=vGS-vDS=VT(或vDS=vGS-VT)时,沟道在漏极一端出现预夹断,如上图(b)所示。再继续增大vDS,夹断点将向源极方向移动,如上图(c)所示。由于vDS的增加部分几乎全部降落在夹断区,故iD几乎不随vDS增大而增加,管子进入饱和区,iD几乎仅由vGS决定。
MOSFET一直是大多数N沟道场效应管开关电路电源(SMPS)选择的晶体管技术。MOSFET用作主开关晶体管,并用作门控整流器来提高效率。本设计实例对P沟道和N沟道增强型MOSFET做了比较,以便选择最适合电源应用的开关。MOSFET一直是大多数开关电源(SMPS)首选的晶体管技术。当用作门控整流器时,MOSFET是主开关晶体管且兼具提高效率的作用。为选择最适合电源应用的开关,本设计实例对P沟道和N沟道增强型MOSFET进行了比较。
对市场营销人员,MOSFET可能代表能源传递最佳方案(Most Optimal Solution for Energy Transfer)的缩写。对工程师来说,它代表金属氧化物半导体场效应晶体管(Metal Oxide Semiconductor Field Effect Transistor)。
由于具有较低的导通电阻(RDS(on))和较小尺寸,N沟道MOSFET在产品选择上超过了P沟道。在降压稳压器应用中,基于栅控电压极性、器件尺寸和串联电阻等多种因素,使用P沟道MOSFET或N沟道MOSFET作为主N沟道场效应管开关电路。同步整流器应用几乎总是使用N沟道技术,这主要是因为N沟道的RDS(on)小于P沟道的,并且通过在栅极上施加正电压导通。
MOSFET多数是载流子器件, N沟道MOSFET在导电过程中有电子流动。 P沟道在导电期间使用被称为空穴的正电荷。电子的流动性是空穴的三倍。尽管没有直接的相关性,就RDS(on)而言,为得到相等的值,P沟道的管芯尺寸大约是N沟道的三倍。因此N沟道的管芯尺寸更小。
N沟道场效应管开关电路N沟道MOSFET在栅-源极端子上施加适当阈值的正电压时导通;P沟道MOSFET通过施加给定的负的栅-源极电压导通。
MOSFET的栅控决定了它们在SMPS转换器中的应用。例如,N沟道MOSFET更适用于以地为参考的低侧开关,特别是用于升压、SEPIC、正向和隔离反激式转换器。在同步整流器应用以及以太网供电(PoE)输入整流器中,低侧开关也被用来代替二极管作为整流器。P沟道MOSFET最常用作输入电压低于15VDC的降压稳压器中的高侧开关。根据应用的不同,N沟道场效应管开关电路N沟道MOSFET也可用作降压稳压器高侧开关。这些应用需要自举电路或其它形式的高侧驱动器。

联系方式:邹先生
联系电话:0755-83888366-8022
手机:18123972950
QQ:2880195519
联系地址:深圳市福田区车公庙天安数码城天吉大厦CD座5C1
请搜微信公众号:“KIA半导体”或扫一扫下图“关注”官方微信公众号
请“关注”官方微信公众号:提供 MOS管 技术帮助