金卤灯镇流器 MOS管应用、设计方案等介绍及工作原理详解-KIA MOS管
实亿国际信息来源:本站 日期:2018-08-23
金属卤化物灯(以下简称金卤灯)是一种气体放电灯,通过一个产生光电弧通过气化的气体混合物的汞和金属卤化物 (具有金属的化合物的溴或碘)。它是一种类型的高强度放电(HID)气体放电灯。在20世纪60年代开发的,它们类似于汞蒸气灯,但包含在附加的金属卤化物石英弧光管,其提高了效率和色彩还原的光。最常用的金属卤化物是碘化钠。一旦电弧管到达其运行温度时,钠从碘离解,添加橙色和红色从钠D线的灯的光谱作为金属电离。其结果是,金卤灯具有较高的发光效率每瓦左右75-100流明,是汞的两倍左右蒸气灯和3至5倍的白炽灯,并产生强烈的白色光。灯泡寿命为6000至15000小时。由于采用的最有效的来源之一CRI白光,金属卤化物在2005年进行了照明行业中增长最快的领域。它们用于广区顶部照明商业,工业和公共场所,如停车场,运动场,工厂和零售商店,以及住宅的安全照明和汽车前大灯(氙气大灯)。
该灯由一小的熔融石英或陶瓷 电弧管,其中包含的气体和电弧,封闭其具有一涂层,以筛选出一个较大的玻璃灯泡内的紫外光产生的。它们在之间的压力下操作图4和20个大气压,以及需要特殊的夹具安全地操作,以及电镇流器。金属原子产生大部分的光输出。他们需要几分钟的预热期达到全光输出。

由于高CRI白光的最有效的来源之一,金属卤化物在2005年是照明行业中增长最快的领域。它们用于广域顶灯商业,工业和公共场所,如停车场,运动场,工厂和零售商店,以及小区保安照明和汽车前大灯(氙气大灯) 。图示出在385nm,422nm,497nm,540nm处,564nm,583nm(最高),630nm的,和674nm峰值的典型的金卤灯的输出光谱。
电子镇流器35W金卤灯泡电弧中的金卤灯,在所有气体放电灯具有负电阻特性; 也就是说,只要通过灯泡的电流增加时,电压两端减小。如果灯泡是从一个恒压源供电,如直接从交流布线,电流将增加,直到灯泡破坏本身; 因此,卤化物灯泡需要电镇流器限制电弧的电流。
有两种类型:
电感镇流器 -许多装置使用一个电感镇流器,也被称为磁镇流器,类似于那些与所用的荧光灯。这包括一个铁芯的电感器。电感器提供了一个阻抗AC电流。如果通过灯的电流增加,电感减少,以保持电流受限的电压。电子镇流器 -这些更轻,更紧凑。它们由一个的电子振荡器,其产生高频电流以驱动灯。因为他们有比电感镇流器低电阻损失,他们是更节能。然而,高频率操作不增加灯效率作为荧光灯。
脉冲启动的金卤灯泡不包含起始电极,它撞击弧,并且需要的点火器,以产生一个高电压(1-5千伏冷击,用在热重燃30千伏)脉冲来启动弧。电子镇流器包括在一个包中的点火器电路。美国国家标准协会(ANSI)的灯镇流器系统标准建立的所有的金属卤化物组分的参数(与一些较新的产品除外)。
自镇流灯截至2012年,有几家公司已经开始提供自镇流金卤灯直接取代白炽灯和自镇流水银灯。这些灯包括具有起动电极的电弧管,以及一个管状的卤素灯,其连接在串联和用于调节在弧光管的电流。电阻提供限制的起始电极的电流。像自镇流汞汽灯,自镇流金卤灯直接连接到主电源,并且不需要外部镇流器。与此相反的前,这些灯通常具有明确的外部灯泡没有涂层,使得在电弧管和卤素灯管显然从外部可见的。
色温
由于所产生的更白,更自然光,金卤灯最初首选的蓝色水银灯。随着引进专业化金属卤化物混合物,金卤灯,现已与相关色温从3000 K至20000 K.色温可以从灯稍有变化,以灯,并且这种作用是明显的地方有许多的灯被使用。因为灯的色彩特性趋向灯的寿命期间改变,根据灯泡已被烧毁,100小时(调味)之后的颜色被测量的ANSI标准。较新的金属卤化物的技术,被称为“脉冲启动”,具有改善的显色性和更可控的开尔文方差(±100至200开尔文)。
金卤灯的色温也可以通过电气系统的供电在灯泡本身的灯泡和制造差异的电特性的影响。如果一个金卤灯泡是因为较低的动力不足,操作温度,其光输出将是因为汞的单独的蒸发的蓝色。这种现象可以升温期间中可以看出,当弧光管尚未达到整个工作温度和卤化物还没有完全蒸发。它也与调光镇流器非常明显的。逆是真实的一个灯泡过于强大,但是,这个条件可能是危险的,可能导致电弧管爆炸,因为过热和过压。
启动和预热
通电后,400瓦金卤灯不久“冷”(下操作温度)的金卤灯不能立即开始产生其充分的光量,因为在内侧弧室中的温度和压力所需要的时间来达到完全的操作水平。启动初始氩弧焊(或氙汽车)有时需要几秒钟,(取决于灯泡类型)的预热期可长达五分钟。在此期间,该灯显示出不同颜色的各种金属卤化物在电弧室汽化。
如果电源中断,甚至简单地说,在灯的电弧熄灭,而存在于热发光管的高压力将防止再起弧的弧;与正常的点火器的5-10分钟冷却期将要求可重新启动灯之前,但具有特殊点火器而特别设计的灯,电弧可以立即重新建立。在没有瞬间重燃能力灯具,电源的瞬间损失可能意味着没有光线几分钟。为安全起见,许多金卤灯具有冷却和再起弧期间工作备份卤钨灯的白炽灯。一旦金属卤化物restrikes和升温,白炽灯光安全关闭。温暖的灯也往往需要更多的时间比开始彻底的凉了一盏灯充分发挥其亮度。所有的HID电弧管强度降低了他们的一生,因为各种因素,如化学腐蚀,热应力和机械振动。随着灯的老化电弧管变色,吸收光线和越来越热。管将继续成为弱直到它最终失败,从而导致管的破裂。
尽管这样的失败与寿命的结束相关联,电弧管可以在任何时候会失败,因为看不见制造缺陷如显微裂纹的甚至是新的时候,。然而,这是相当少见的。制造商通常“旺季”的新灯检查这些缺陷灯离开制造商的房舍之前。由于金卤灯含有一显著高压气体(最多至50psi),电弧管的失败是不可避免暴力事件。电弧管的片段被发射,以极高的速度,在所有方向上,引人注目的有足够的力在灯的外灯泡以使其断裂。如果灯具没有二级防护(如镜头,碗或屏蔽),那么碎片极热片会掉下来砸到人员和财产的光线之下,有可能造成严重伤害,损坏,并可能造成重大建筑火灾如果易燃物质存在。
为了确保金卤灯不出现声谐振,电子镇流器一般工作于低频方波状态。传统的低频方波电子镇流器包括3级结构:功率因数校正电路、降压电路和全桥逆变电路。这种结构非常复杂而且造成了镇流器的成本昂贵。简化电路、降低成本已经成为如今研究的重点。一种方法就是把前两级功率因数校正和降压电路组成一级。这种方法可以减小镇流器的体积,但是可能伴随带来的问题就是降低了功率因数校正电路的表现,增加了开关器件的应力等不利因素。另一种方法就是把降压电路和逆变电路组合在一起。这种方法可以降低镇流器的体积和成本,但是控制方法可能相对复杂。
组合降压电路和半桥逆变电路在一起的方案是现在比较流行而且可行的方法。因为这种方式的电路相对最为简单,成本最低。为了促进这种方案的广泛应用,简化它的控制方法,克服这种电路的缺点,提高它的可靠性就成为研究的重点。
本文对此种电路提出了一种新型控制方法,并且提出一种简单有效的方法克服此电路在输出电流换向时发生的电流过冲问题,降低了波峰系数。
1 电路描述
电路的结构框图如图1所示。

2.电路工作模态的分析
S1、S2的门极信号如图2所示。当S1工作于高频状态时,S2被断开。此时,电路等效于一个Buck电路,S1相当于主功率开关,而S2的体二极管相当于Buck的二极管。两个开关管的工作状态会以400Hz的一个频率交替变化。这样,就可以得到一个低频的方波电流输出供给灯。

二极管关断时存在一个反向恢复问题,这会大大增加器件的开关损耗。为了避免这种情况的发生,我们让电路工作在电流断续状态下。图3是逆变级Buck电感电流的状态示意图。

当S1工作于高频状态而S2断开时,电路工作于3种工作模式。
1.模式1
S1开通,电流流过C1、S1、Rs、灯、点火电感和Lc图4是这种模式的等效电路图。其中点火电感的电感量远远小于电感L的电感量,假设电容C上的电压在每个开关周期中保持不变,电感L上的电压VL为


S1断开,由于电感电流不能突变,电流流过Rs、灯、点火电感、L、C2和D2o。图5是此种模式的等效电路图。电感L的电压为

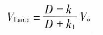
S1仍然处于断开状态。但是电感£的电流降为零。此时,电容C给灯提供能量,电流流过C、Rs、灯和点火电感。图6是此种工作模式的等效电路图。假设电容足够大,电容上的电压保持不变,我们能够从式(1)、式(2)中得到输出的灯电压为(插图)

式中:系数k1与电感电流下降时间有关,在图3中有着明确的表示。
当S1断开,S2工作于高频开关状态时,电路的工作过程基本上和上面的分析一致。
根据上面的分析,在每半个低频周期内半桥逆变电路可以等效为一个Buck降压电路。从而一个半桥逆变电路既可以提供给灯一个合适的T作电压又能使灯工作于低频方波状态。

1.2 闭环控制
因为金卤灯的负阻特性,为此我们控制镇流器的输出呈现为电流源的特性,以保证灯的稳定工作。图7是半桥电路的控制方法框图。通过Rs采样灯电流。采样电阻Rs上的电压是一个低频的方波信号。首先通过运放l把这个信号放大,然后经过一个整流电路把这个交流的方波信号整流成直流,再经过RC滤波后进行PI调节,调节输出为一个恒流源。可见这种控制方法等效于DC/DC的控制方法,简单且有效。(插图)

1.3 电流过冲
但是,这个电路存在一个严重问题就是在每个输出电流换向的瞬间会有很大的电流过冲。这样的尖峰电流会大大降低灯的使用寿命。本文提出了一种简单有效的方法克服这个问题。
图8是半桥驱动门极信号的产生电路,其中的D触发器、两个与门和两个或非门组合在一起用来减小驱动信号的占空比。而这个功能由控制脚(CP)来控制,当CP为高时,驱动的占空比就可以减小为大约原来的一半。这样我们就可以在每个输出电流换向的瞬间给CP一个高电平,减小驱动的占空比,以大大减小甚至消除过冲电流。图9为一个简单CP控制信号的产牛电路。图7为脚CP信号与低频逆变信号的时序图。(插图)


2 实验结果
采用上述控制方法的一个70W金卤灯电子镇流器样机已经完成。电路主要参数如下。
L="380" μH;
C=1μF;
Vo="200V";
fh="100" kHz;
f1=400Hz。
其中:fh为半桥电路驱动的高频和低频频率;
f1为半桥电路驱动的低频频率。
图11显示了输出电流换向时驱动信号的变化。图12为输出电流换向时电感电流的变化,可以看到电流的过冲相当小。图13为点火脉冲,由于点火是在低频情况下进行,所以点火成功率很高。图14为灯正常工作时的电流和电压波形,可以看出灯电流基本没有电流过冲的情况发生。整机效率约为90%,波峰系数为1.1。(插图)



以下为金卤灯镇流器常用MOS管,这里为部分型号,想咨询更多型号及封装详情请联系我们。
联系方式:邹先生
联系电话:0755-83888366-8022
手机:18123972950
QQ:2880195519
联系地址:深圳市福田区车公庙天安数码城天吉大厦CD座5C1
请搜微信公众号:“KIA半导体”或扫一扫下图“关注”官方微信公众号
请“关注”官方微信公众号:提供 MOS管 技术帮助