实亿国际

实亿国际

国家高新企业

cn

新闻中心

场效应管偏置电路-场效应管偏置电路的工作原理及作用分析-KIA MOS管

信息来源:本站 日期:2018-07-26 

分享到:

什么是偏置电路

晶体管构成的放大器要做到不失真地将信号电压放大,就必须保证晶体管的发射结正偏、集电结反偏。即应该设置它的工作点。所谓工作点就是通过外部电路的设置使晶体管的基极、发射极和集电极处于所要求的电位(可根据计算获得)。这些外部电路就称为偏置电路。

场效应管偏置电路工作原理

稳定静态工作点原理:

由于流过发射极偏置电阻(Re)的电流IR远大于基极的电流Ib(Ie>>Ib),因此,可以认为基极电位Vb只取决于分压电阻Re的阻值大小,与三极管参数无关,不受温度影响。静态工作点的稳定是由Vb和Re共同作用实现,稳定过程如下:

设温度升高→Ic↑→Ie↑→VRe↑→Vbe↓→Ib↓→Ic↓

其中:Ic↑→Ie↑是由并联电路电流方程 Ie = Ib+Ic得出,Ie↑→Vbe↓是由串联电路电压方程Vbe= Vb-Ie×Re得出,Ib↓→Ic↓是由晶体三极管电流放大原理 Ic =β×Ib (β表示三极管的放大倍数) 得出。

由上述分析不难得出,Re越大稳定性越好。但事物总是具有两面性,Re太大其功率损耗也大,同时Ve也会增加很多,使Vce减小导致三极管工作范围变窄,降低交流放大倍数。因此Re不宜取得太大。在小电流工作状态下,Re值为几百欧到几千欧;大电流工作时,Re为几欧到几十欧。

场效应管偏置电路

场效应管偏置电路为了使放大电路正常地工作能把输入信号不失真地加以放大,必须有一个合适而稳定的静态工作点为放大电路提供直流电流和直流电压的电路.叫做直流(静态)偏置电路,简称偏置电路由于各种电子电路对偏置电路有不同的要求,所以在实际电路中加设的偏置电路也有所不同。下面介绍几种常见的偏置电路。

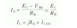
1.固定偏直电路

固定偏置电路如图15-11 所示,它是共发射极放大电路。当EC和RB一经确定,就能得到一个固定的基极电流lB和集电极电流IC, 所以把这种电路叫做固定偏置电路。电路中的EC、IC、RC、β 和ICEO 等参数.一般都是预先根据需要而确定好的。计算基极电流(又称偏置电流)IB 和基极电阻(偏流电阻)RB时,可利用以下公式:

场效应管偏置电路"

从上式可以求出IC和RB的值。但在实际应用中,往往还要调整RB,以得到较精确的IC。调整方法是:选择一个合适的电位器和电阻.串接后接在RB 的位置,断开RC和EC 的连接.串入一个电流在、调节电位器的阻值.使电流表指示达到预定的IC值。由于半导体三极管的特性受植度的影响较大.当温度变化升高时,三极管的穿透电流lCEP显著增加,而IC又与ICEO 有关,所以IC也随之增加.从而会引起工作点的变动可以看出,固定偏置电路只是提供一个固定偏流lB的电路,它无法起到稳定工作点的作用。它的优点是电路结构简单,使用的元件少.可以用在不要求有稳定的静态工作点的电路中。

场效应管偏置电路

2. 电压负反馈偏直电路

电压负反馈偏置电路如图15-12 所示。它和固定偏置电路的不同之处,是将偏流电阻RB接在了三极管集电极上。此时电路中各参数有以下的关系:

场效应管偏置电路

从上面过程可以看出,随温度的升高, IC的变化被拉了回来.达到了稳定静态工作点的作用。要想这种电路效果好,就要使RC足够大,这样才能引起UCE 的足够变化,加深电压负反馈的作用。所以这种电路不适用于用变压器作负载的电路。偏流电阻RB一般取值为(2~10)RC。

3. 电流负反馈偏直电路

电流负反馈偏置电路如图15-13 所示。它和固定偏置电路的不同之处是.在半导三极管的发射极上串接了一个电阻RE 。此时电路各参数有以下的关系:

场效应管偏置电路

由于EC电源相对不变,若IERE 增加,必然引起UBE下降,从而造成IB的下降。电路稳定静态工作点的过程可以写成以下形式:

场效应管偏置电路

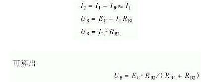
4. 分压式电流负反馈偏直电路

这是一种常用的偏置电路,它的典型电路如图15-14 所示。在这个电路中,除三极管发射极上接有RE外,同时在基极上还接有RB1和RB2 , 它们分别接在电源EC的两端。

场效应管偏置电路

分压式电流负反馈偏置电路有两种稳定作用:

①通过基极电阻RB1和RB2 的分压,以下关系成立:

场效应管偏置电路

上式说明基极电压UB只受EC·RB1和RB2 的影响,只要这三个参数确定,则UB 就可保持稳定。

①接入RE电路有电流负反馈的温度补偿作用

由于有以上两个稳定作用,所以分压式电流负反馈偏置电路的稳定作用较好。除此之外,这种电路还有一个优点,就是RC取值小些,也不影响稳定性,因此适用于各种负载的放大电路。

对于低频小信号放大电路来说,应用电路中的元件取值可参考以下原则:

场效应管偏置电路

场效应管偏置电路的作用

偏置电路的作用是向各放大级提供合适的偏置电流,确定各级静态工作点。各个放大级对偏置电流的要求各不相同。对于输入级,通常要求提供一个比较小(一般为微安级)的偏置电流,而且应该非常稳定,以便提高集成运放的输入电阻,降低输入偏置电流、输入失调电流及其温漂等等。

在集成运放中,常用的偏置电路有以下几种:

镜像电流源也称为电流镜(Current Mirror),在集成运放中应用十分广泛,它的电路如下图所示。

场效应管偏置电路

然后在VT2的集电极得到相应的IC2,作为提供给某个放大级的偏置电流。由于UBE1=UBE2,而VT1和VT2是做在同一硅片上两个相邻的三极管,它们的工艺、结构和参数都比较一致,因此可以认为

场效应管偏置电路

(2)由于输出恒流IC2和基准电流IREF相等,它们之间如同是镜像的关系,所以这种恒流源电路称为镜像电流源。镜像电流源的优点是结构简单,而且具有一定的温度补偿作用。

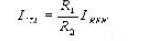
二、比例电流源

在镜像电流源的基础上,在VT1、VT2的发射极分别入两个电阻R1和R2,即可组成比例电流源,如下图所示。

场效应管偏置电路

由于VT1、VT2是做在同一硅片上的两个相邻的三极管,因此可以认为UBE1≈IE2R2,则IE1R1≈IE2R2,如果两管的基极电流可以忽略,由上式可得

场效应管偏置电路

(3)可见两个三极管的集电极电流之比近似与发射极电阻的阻值成反比,故称为比例电流源。以上两种电流源的共同缺点是,当直流电源VCC变化时,输出电流IC2几乎按同样的规律活动,因此不适用于直流电源在大范围内变化的集成运放。此外,若输入级要求微安级的偏置电流,则所有电阻将达兆欧级,在集成电路中无法实现。


实亿国际 联系方式:邹先生

联系电话:0755-83888366-8022

手机:18123972950

实亿国际 QQ:2880195519

联系地址:深圳市福田区车公庙天安数码城天吉大厦CD座5C1

实亿国际 请搜微信公众号:“KIA半导体”或扫一扫下图“关注”官方微信公众号

实亿国际 请“关注”官方微信公众号:提供  MOS管  技术帮助